سنقومُ في هذه التجربة بإعدادِ فقاعاتٍ صغيرةٍ من عصيرِ التُّوتِ البريّ ذات غلاف شفّاف وصلب، والتي تتفرقع في الفم، مثل الكافيار، باستخدامِ طريقةِ طبخ جزيئيّ خاصة.
المعدّات:
- 20 مل من محلول ألجينات الصوديوم 1.5%. لمشاهدة تعليمات التحضير اضغطوا هنا.
- مخبار مُدرّج أو أي أداة أخرى لقياسِ الحجم.
- 20 مل من محلول عصير التوت البريّ، أو أيّ سائل لذيذ آخر نوّد إنتاج فقاعات مُماثلة للكافيار منه.
- 80 مل من محلول لاكتات الكالسيوم 1%. لمشاهدة تعليمات التحضير اضغطوا هنا.
- قطّارة
- مصفاة شاي
- كؤوس
- ملاعق
في جميع وصفات الطبخ الجزيئي، يجب استعمال معدّات خاصة بالطهي فقط (يُمنع استعمال معدّات تُستخدم في تجارب المختبر).
سير التجربة:
يمكنكم مشاهدة سير التجربة في الفيديو المُصوّر التالي:
شرح
تمامًا كما هو الحال في وصفة "الرافيولي بدون عجينة" الخاصة بنا، تُعدّ مادة ألجينات الصوديوم أساسية في تصنيع الكافيار أيضًا. الألجينات، كما يُوحي اسمها (من الكلمة الانجليزية التي تعني الطّحالب: ألجي- algae)، هي مادة تُستخلص من طحالب البحر ذات اللون البُنيّ. من الناحية الكيميائية، فإننا نتحدث عن بوليمير – جزيء ضخم يتكون من العديد (بولي) من الوحدات (مير) التي تُكرر نفسها مرارًا وتكرارًا في سلسلة ضخمة.
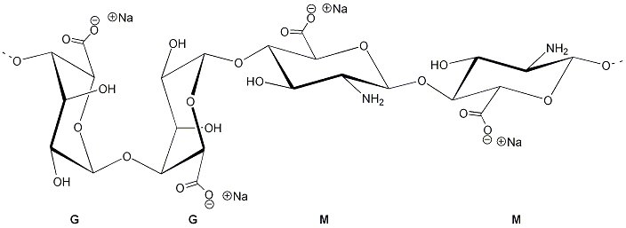
المبنى الأساسيّ لسلسلة الألجينات هو:

المبنى الكيميائيّ لألجينات الصوديوم، تخطيط: Volker83، ويكيبيديا
من تشابكِ صِيَغ المبنى الكيميائية، يمكننا تمييز أربعة حلقات سداسية مُتصلة ببعضها البعض. في الواقع ، كما ذُكر سابقًا، هناك الآلاف من الحلقات المُتصلة ببعضها البعض في سلسلة ضخمة.
إذا أمعنّا النظر في التركيب الكيميائيّ الأساسيّ للألجينات، يمكننا التمييز بأنه في كل حلقة يوجد منطقة يُرمز لها بالإشارة السّالبة (-)، مما يدل على أنّ كل حلقة لها منطقة مشحونة بشحنة كهربائية سالبة، وبجوارها رمز Na +، رمز الصوديوم في ألجينات الصوديوم، المشحونة بشحنة كهربائية موجبة بالأساس (+ هو أيون موجب)، والذي يُوازن الشحنة السلبية الخاصة بالحلقات. يُشبه مبنى الألجينات في الأساس مادة ماصّة للماء تتواجد في الحفاظّات.
عند إذابة ألجينات الصوديوم في الماء، فإننا نحصل على محلولٍ سميك، لكنّه غير جامد، لسلاسل الألجينات المُبعثرة في الماء – خيوط صغيرة غير مرئية تجعل الماء أكثرَ كثافة. عندما تلتقي ألجينات الصوديوم بملح الكالسيوم (مثل لاكتات الكالسيوم) فإنها تتصّلب. من الناحية الكيميائية، يحتوي ملح الكالسيوم على أيونات كالسيوم مشحونة ذات شحنة موجبة +2، والتي يمكنها "الربط" بين حلقتين من سلسلتي ألجينات مختلفتين (على كل حلقة يوجد شحنة كهربائية +1)، ومن ثمّ إنشاء شبكة ثلاثية الأبعاد – كما يمكن رؤيتها في الصور المتحركة التالية:

في الوصفة الحالية قمنا بإذابةِ محلولِ ألجينات الصوديوم في عصيرٍ مُركّز من التوت البريّ، ثم أضفنا بضع قطراتٍ منها بلطفٍ شديد إلى داخل محلول غنيّ بأيونات الكالسيوم (محلول لاكتات الكالسيوم). عندما تقع قطرة العصير المُركّز مع الألجينات في داخل محلول الكالسيوم، فإنها تتلامس مع أيونات الكالسيوم وتُنتِج من حولها على الفور طبقة خارجية محكمة الإغلاق ذات ملمس صلب ومبنية من سلاسل الألجينات المرتبطة بواسطة الكالسيوم. يتوجّبُ ترك القطراتِ في داخل المحلول لمدة دقيقتين للسماح لتلك الطبقة بالتكثّف ولزيادة تغلغل أيونات الكالسيوم الإضافية إلى الداخل و"ربط" المزيد من سلاسل الألجينات.
انتبهوا، بما أننا نرغب بالحصول على ملمسٍ يُشبه الكافيار، أي ذو قشرة محكمة الإغلاق وحشوة سائلة ، فمن المهم جدًا عدم ترك القطرات لمدة طويلة في محلول الكالسيوم؛ حتى لا يتصلّب كل المحتوى الخاصّ بها بل القشرة الخارجية فقط.
يمكن استخدام هذه الوصفة في أيّ سائل يثير اهتمامكم وتودون تجربته وتحويله إلى "كافيار".
من الجدير بالذكر
كما ذُكِر في الفيديو، يتمّ اليوم تسويق أدوية كالكبسولات الهُلامية (جلّ) والتي تحتوي على المادة الفعّالة في داخلها. ولأن الجلّ يذوب بشكل أسرع ويحتوي على حشوة سائلة، فإنها تعمل بشكلٍ أسرع من الأدوية الصلبة. يتمّ إنتاج هذه الأدوية في تقنية مشابهة لتلك التي قدمناها هنا في الوصفة.
وصفات إضافية من الطبخِ الجزيئيّ:
عصير البرتقال الشفّاف