אלברט איינשטיין פיתח את תורת היחסות הכללית בדרך פתלתלה. בתחילה הוא נקט גישה של תורת היחסות הפרטית: ניסויי חשיבה באמצעות שעונים ומוטות מדידה; אלה הם ניסויי החשיבה המפורסמים של המעלית והדִסקה המסתובבת, ניסויים שאיינשטיין שִכלל מאוחר יותר.
ב-1912 הוא גילה את משוואות השדה הנכונות, אך מחק אותן וב-1913 הציע משוואות שגויות במקומן. הוא דבק בהן גם כשהן הניבו תוצאות שגויות בעבור התקדמות הפריהליון של כוכב הלכת חמה.
רק בנובמבר 1915 איינשטיין שב למשוואות השדה הנכונות. במחאה עצמית אופיינית הוא אמר, שלרוע המזל הוא הנציח את הטעויות הסופיות של עצמו במאמרים מ-1914. והוא הוסיף, שזה אופייני לברנש הזה איינשטיין, שכל שנה הוא חוזר בו ממה שכתב בשנה שעברה.
"המחשבה השמחה ביותר בחיי"
ניצוץ ראשון של הרעיון לתורת היחסות הכללית נדלק כפי הנראה אצל אלברט איינשטיין במשרד הפטנטים ב-1907. במשך ימים ושבועות היה איינשטיין עסוק בהתאמת משוואת פואסון מתורת הכבידה של ניוטון לתורת היחסות הפרטית. והנה יום אחד ישב על כיסאו ולפתע פתאום נקרתה לו, כדבריו "המחשבה השמחה ביותר בחיי". מדברים שכתב מאוחר יותר עולה כי במשרד הפטנטים דמיין אדם בנפילה חופשית מגג בניין. במהלך נפילתו מטה מבחינתו של אותו אדם לא קיים שדה כבידה. כשהאדם הזה מפיל גופים הם נותרים במנוחה יחסית אליו. חוק הנפילה החופשית של גליליאו קובע, שכל הגופים נופלים באותה תאוצה. וכך האדם והגופים שהוא מפיל נופלים באותה תאוצה. האדם שנופל מגג הבניין מפרֵש את מצבו כמצב מנוחה.

דיוקן של איינשטיין הצעיר.
(איור: גלי וינשטיין)
במקום לחפש התאמה בין תורת הכבידה של ניוטון לתורת היחסות הפרטית, דבר שהיה טבעי לעשותו, איינשטיין הבין שחוק הנפילה החופשית של גליליאו הוא עיקרון בעל חשיבות מרחיקת לכת בניסוח עקרון יחסות מוכלל. האדם בנפילה חופשית מגג הבניין נופל באותה תאוצה כמו שאר הגופים שנופלים יחד אִתו. במצב זה לא קיימת תנועה יחסית בינו לשאר הגופים כך שהם כולם במנוחה זה ביחס לזה. האדם שנופל מגג הבניין אינו יודע אם הוא בנפילה חופשית בשדה כבידה או במנוחה בחלל ללא שדה כבידה. הוא מצוי במערכת ייחוס אינרציאלית מקומית, מוגבלת בחלל ובזמן. מערכת זו שונה מן המערכת האינרציאלית הרגילה, במערכת זו גוף בתנועה שלא פועלים עליו כוחות ינוע לנצח במהירות קבועה. אין מערכת זו מוגבלת בזמן ובמרחב. לעומת זאת, האופי האינרציאלי של מערכת הייחוס של האדם שנופל מן הגג מוגבל בחלל ובזמן. במוקדם או במאוחר, גוף שנופל יחד עם האדם הנופל יתנגש בקרקע ובכך תיהרס המנוחה הרגעית או התנועה האחידה של שניהם. איינשטיין סבר שאפשר לבטל באופן מקומי את כל השפעות הכבידה במערכת בנפילה חופשית (תאוצה בשדה כבידה) ולהשתמש בה כמערכת אינרציאלית מקומית. במערכת זו כל חוקי תורת היחסות הפרטית תקפים.
עקרון השקילות
איינשטיין הבין, שיש קשר עמוק בין הכבידה לתאוצה. הוא שאף להכניס את התאוצה לעקרון יחסות כללי באמצעות עיקרון חדש שמקשר בין התאוצה לכבידה, וקרא לעיקרון הזה בשם עקרון השקילות. באמצעות עקרון השקילות הוא תכנן להרחיב את עקרון היחסות שתקֵף לתנועות אחידות ביחסות הפרטית לעקרון יחסות בעבור תנועות לא אחידות.
ניוטון ניסח את חוק הנפילה החופשית של גליליאו כשוויון בין המסה ההֶתמדית (אינֶרציאלית) למסה הכבידתית. ואולם ניוטון סבר שהקשר בין עקרון גליליאו לשוויון בין שתי המסות הוא מקרי לגמרי. אכן מחוק הנפילה של גליליאו נובע שהמסה האינרציאלית שווה למסה הכבידתית. בחוק השני של ניוטון בעבור גוף נופל בשדה כבידה מצטמצם איבר המסות ומקבלים שכל הגופים נופלים באותה תאוצה, כך שתאוצת הכבידה בלתי תלויה במסה. איינשטיין הכליל את הרעיונות של גליליאו וניוטון וניסח את עקרון השקילות. עקרון השקילות בתורת היחסות הכללית קובע, שהתאוצה והכבידה הם שני צדדים של אותו מטבע. מכאן שהקשר בין עקרון גלילאו לשוויון בין המסה האינרציאלית לכבידתית אינו מקרי.
בתחילת דרכו איינשטיין ניסח עקרון שקילות מנחֶה ("היוריסטי"), שהנחה אותו בחיפוש אחר עקרון יחסות כללי. איינשטיין החליף תאוצה בשדה כבידה (נפילה חופשית של אדם מגג בניין) במנוחה ללא שדה כבידה, ותאוצה בהיעדר שדה כבידה במנוחה בשדה כבידה. מכאן שיש שני מצבי תאוצה שמוחלפים בשני מצבי מנוחה.
המעלית בגורד השחקים
הבה נדמיין מעלית מאיצה בתאוצה קבועה במעלה גורד שחקים, יחסית לצופה חיצוני שמצוי במערכת אינרציאלית. במערכת אינרציאלית החוק הראשון של ניוטון (חוק ההתמדה, האינרציה) תקף: גופים יישארו במנוחה או יתמידו בתנועה במהירות קבועה כל עוד לא פועלים עליהם כוחות. הצופה החיצוני רואה את המעלית נעה כלפי מעלה בתאוצה קבועה. הוא רואה, שכשהאנשים במעלית משחררים גוף בתוך המעלית, הוא ממהר לפגוע ברצפתה, מכיוון שהרצפה מאיצה למעלה לכיוון הגוף הנופל. האנשים בתוך המעלית אינם רואים כל סיבה להאמין שהמעלית שלהם מצויה בתנועה מוחלטת. הם מבינים שהמערכת שלהם היא לא אינרציאלית, אבל מנקודת מבטם היא אינה מערכת בתנועה מוחלטת. הם מסבירים שגופים נופלים בתוך המעלית בגלל שהמעלית מצויה במנוחה בשדה כבידה. הם אינם רואים הבדל בין תנועות הגופים בתוך המעלית ובין תנועתם על כדור הארץ. הם מסבירים את הנפילה של הגופים באמצעות הפעולה של שדה הכבידה. איזה תיאור נכון? שני התיאורים נכונים – זה של הצופה מחוץ למעלית וזה של האדם בתוך המעלית. אי אפשר להבחין ביניהם כי שני התיאורים שקולים זה לזה. ניתן לתאר את המעלית בתאוצה בהיעדר שדה כבידה (התיאור של הצופה בחוץ) או במנוחה בנוכחות שדה כבידה (התיאור של הצופה בפנים).
עיקום קרני אור בשדה כבידה
איינשטיין בחן תהליכים במערכת המצויה בתאוצה קבועה ותוך שהוא מפעיל את עקרון השקילות. דבר זה הביא אותו לכמה חיזויים חדשים. החיזוי הראשון היה שקרני האור מתעקמות בשדה כבידה. קרן אור שחולפת על יד גוף שמימי מתעקמת לעבר הגוף השמימי. איינשטיין חזה את הגודל המספרי של העיקום. הוא הבין, שאם קרני האור יתעקמו בזמן שהן חולפות בשדה הכבידה של השמש, האפקט יהיה קטן מאוד וקרן האור תצטרך לחלוף קרוב מאוד לשמש כדי שנוכל לגלות את העיקום. אפשר לגלות את התופעה אך ורק בעת ליקוי חמה מלא, כשהשמים חשוכים דיים עד שאפשר לצפות באור הכוכבים.
נשוב למעלית המואצת במעלה גורד שחקים. נדמיין קרן אור שנכנסת למעלית המאיצה בצורה אופקית דרך חלון צדדי ומגיעה לקיר ממול בתוך זמן קצר. הצופה החיצוני שעומד על הקרקע מתבונן במעלית המאיצה. הוא רואה שהמעלית נעה למעלה ובמהלך הזמן שבו קרני האור נעות לעבר הקיר, המעלית ממשיכה לנוע למעלה. הוא מסיק שקרן האור לא פוגעת בנקודה בקיר בדיוק ממול לנקודה שבה היא נכנסה, אלא בנקודה שהיא מעט נמוכה יותר. ההפרש יהיה קטן מאוד וכמעט בלתי מורגש, אבל קיים. קרני האור נעות יחסית למעלית לא לאורך קו ישר אלא לאורך קו עקום. הסיבה היא המרחק שעברה המעלית בזמן שקרן האור חוצה את פנים המעלית. הצופה בתוך המעלית סבור שהוא במעלית במנוחה על הקרקע בשדה כבידה. הוא סבור ששדה כבידה פועל על כל העצמים במעלית. הוא טוען שקרן אור היא חסרת משקל ולכן היא אינה מושפעת משדה כבידה. כשמשגרים קרן אור בכיוון האופקי, היא תפגע בקיר ממול לנקודת החדירה שלה. ברשותנו שני צופים ושתי נקודות מבט שונות ודבר זה מנוגד לעקרון היחסות, ולפיו כל הצופים מדווחים על אותה תופעה פיזיקלית. אין שקילות בדיווחים של שני הצופים, עקרון השקילות מופר, ומתוך ההתנהגות של האור מגלים שהצופה בתוך המעלית הוא בתנועה מוחלטת: כל אימת שצופה מוצא קרן אור עקומה הוא יודע שמערכת הייחוס הנדונה היא בתנועה מוחלטת.
כיצד פותרים את הבעיה? תורת היחסות הפרטית קובעת שקרן אור נושאת אנרגיה ולאנרגיה יש מסה אינרציאלית בהתאם למשוואה המפורסמת E = mc2. בשדה כבידה מופעל כוח על מסה אינרציאלית. מכיוון שמסות אינרציאלית וכבידתית הן שוות, הגידול במסה הכבידתית שווה ל-E/c2, וכך שווה לגידול במסה האינרציאלית בהתאם לתורת היחסות הפרטית. לפיכך, קרן אור מתעקמת בשדה כבידה בדיוק באותו האופן שבו מסלולו של גוף מתעקם כשמשליכים אותו השלכה אופקית במהירות שווה לזו של האור. ההיסק הקודם של הצופה בתוך המעלית אינו נכון, כי הוא לא הביא בחשבון את התעקמות קרני האור בשדה כבידה. הצופה בפנים המעלית והצופה בחוץ שניהם יסיקו שקרן האור מתעקמת.
ניסוי הדִסקה והאטת זמנים כבידתית
החיזוי השני של איינשטיין היה הסחה לאדום כבידתית. חיזוי זה קשור בהאטת זמנים כבידתית.
איינשטיין טען שאם שעון ממוקם בשדה כובד חזק, הוא נע לאט יותר לעומת שעון שממוקם בשדה כובד חלש יותר. זוהי האטת הזמנים הכבידתית.
נבדוק זאת באמצעות ניסוי הדִסקה המפורסם שתיאר איינשטיין. איינשטיין הגה את ניסוי הדִסקה בפראג ב-1912 ושִכלל אותו בברלין ב-1916. נדמיין דִסקה גדולה המסתובבת במהירות זוויתית קבועה וגבוהה מאוד. הדִסקה מסתובבת יחסית לצופה העומד מחוצה לה, במערכת ייחוס אינרציאלית; יש גם צופה העומד על הדִסקה. המהירות הקווית בהיקף הדִסקה גבוהה יותר מן המהירות הקווית קרוב לציר הדִסקה; המהירות הקווית על ציר הסיבוב היא אפס. איינשטיין מיקם שעונים על פני הדִסקה, מן ההיקף ועד לציר. אילו מערכת הדִסקה הייתה מערכת אינרציאלית, אז לפי תורת היחסות הפרטית השעונים היו נעים באותו קצב והיו מסונכרנים. אבל מערכת הדִסקה אינה מערכת אינרציאלית.
הצופה מחוץ לדִסקה הוא בעל שעונים, שכולם מסונכרנים להפליא זה עם זה וכולם נעים בדיוק באותו הקצב. הצופה שעומד על הדִסקה לוקח שני שעונים בדיוק מאותו הסוג וממקם אותם האחד קרוב לציר הסיבוב והשני קרוב להיקף הדִסקה. שעון הממוקם בדיוק על ציר הסיבוב של הדִסקה מצוי במנוחה ביחס לצופה החיצוני, ולכן הוא ינוע באותו הקצב כמו שעוני הצופה החיצוני. אך השעון הממוקם קרוב להיקף הדִסקה שרוי במהירות גבוהה באופן יחסי לצופה שמחוצה לה, ולפי תורת היחסות הפרטית, לשעון זה קצב שונה ביחס לשעונים של הצופה החיצוני וביחס לשעון הממוקם קרוב לציר הסיבוב: השעון הממוקם קרוב להיקף הדִסקה נע בקצב אִטי יותר לעומת השעון שמצוי קרוב לציר הדִסקה ולשעון של הצופה החיצוני.
מסקנה: שני שעונים במערכת ייחוס לא אינרציאלית ינועו בקצב שונה; במערכת ייחוס מסתובבת לא ניתן לסנכרן שעונים.
עקרון השקילות קובע שהצופה על הדִסקה יכול לחשוב שאין הוא מצוי על דסקה מסתובבת, אלא מצוי במעלית ענקית במנוחה בשדה כבידה הומוגני, שבה שעון המוצמד לתקרת המעלית נע מהר יותר מאשר שעון המוצמד לרצפתה. נניח צופה כזה שחושב שהוא מצוי בתוך מעלית בשדה כבידה. יש שני שעונים. שעון בשדה כבידה חלש (בתקרת המעלית), שנע מהר יותר מאותו השעון בדיוק ברצפת המעלית. איינשטיין הסיק, ששעונים בחלקים שונים בשדה כבידה נעים בקצב שונה.
הסחה לאדום כבידתית
איינשטיין חזה תוצאה חשובה מהאטת הזמנים ומאפקט דופלר ביחסות הפרטית: תדירות הגל קשורה בזמן. נבחן את הקרינה שנפלטת במערכת הדִסקה המסתובבת בהיקפה ומגיעה לציר הדִסקה. בהגיעה לציר הדִסקה תדירות הקרינה משתנה. לפי עקרון השקילות, צופה על הדִסקה המסתובבת יכול להסיק שהוא מצוי בשדה כבידה.
נבחן שני גופים: כדור הארץ שלו שדה כבידה חלש והשמש שלה שדה כבידה חזק. השמש שולחת אור לכדור הארץ. אנחנו על כדור הארץ מודדים את תדירות האור שמגיע מן השמש. איינשטיין הסיק שיש הסחה בקווים הספקטראליים של האור שמגיע מן השמש לכדור הארץ, הסחה לעבר הקצה האדום של הספקטרום האלקטרומגנטי. אפקט זה גורם להסחה לאדום הכבידתית. אורך הגל, וכתוצאה מכך צבע האור, משתנים תוך תלות במסה של המקור שפולט את האור: ככל שהמסה גדולה יותר, הכבידה חזקה יותר, מה שמניב הסחה גדולה יותר לעבר האדום.
גאומטריה לא אוקלידית בדִסקה
בנוסף, ניסוי הדִסקה מדגים שלא ניתן לכייל אורכים במערכת הדִסקה. נניח שנצייד את הצופה בדִסקה המסתובבת במוטות מדידה זהים באורכם לאלה של הצופה שעומד מחוץ לדסקה. הגאומטריה האוקלידית תקפה במערכת של הצופה מחוץ לדִסקה, מכיוון שזו מערכת אינרציאלית. הוא מודד שהיחס בין היקף המעגל לקוטרו הוא קבוע ושווה ל-π. הצופה בדִסקה מודד את היקף הדִסקה ואת קוטרה באמצעות מוטות מדידה זהים לאלה של הצופה מחוץ לדִסקה (בעלי אותו האורך בעודם במנוחה). הוא מניח מספר גדול מאוד של מוטות מדידה קטנים על היקף הדִסקה המסתובבת ועל הקוטר שלה ומסדרם בשורה יחדיו זה לצד זה. בעבור הצופה שעומד מחוץ לדִסקה מוטות המדידה על היקף הדִסקה קצרים באופן יחסי למוטות המדידה שלו. לפי תורת היחסות הפרטית, מנקודת מבטו של הצופה מחוץ לדִסקה, המוטות שמשמשים למדידת היקף הדִסקה קצרים, ביחס למוטות שמשמשים למדידת הקוטר. לפיכך בעבור צופה זה היחס בין היקף מעגל הדִסקה לקוטרו גדול מ-π. מסקנה: הגאומטריה האוקלידית לא תקפה לדִסקה המסתובבת.
ניישם את עקרון השקילות ונגיע למסקנה, שבמערכות בשדה כבידה חזק הגאומטריה היא לא אוקלידית. תורת היחסות הפרטית מאופיינת בגאומטריה אוקלידית ובמרחב שטוח. איינשטיין הבין שבתורת יחסות כללית נדרשת גאומטריה לא-אוקלידית במקום הגאומטריה האוקלידית של תורת היחסות הפרטית. כלומר כשמדברים על שדות כבידה חזקים, זקוקים למרחב-זמן עקום במקום מרחב-זמן שטוח של תורת היחסות הפרטית.
כזכור, הצופה החיצוני, שעומד על יד הדִסקה, טוען שהוא מצוי במנוחה במערכת אינרציאלית (שמיוצגת על ידי מרחב-זמן שטוח), ואילו הצופה על הדִסקה מצוי במערכת מאיצה, לא אינרציאלית. עקרון השקילות קובע שהצופה על הדִסקה יכול לחשוב שאין הוא מצוי על גבי דִסקה מסתובבת, אלא שרוי במנוחה בשדה כבידה. מבחינה פיזיקלית, הצופה שעומד על יד ציר הדִסקה נע על קו גאודזי (המסלול הישר ביותר במרחב עקום שמייצג נפילה חופשית בשדה כבידה), בעוד שהצופה שמצוי על יד היקף הדִסקה נע על מסלול שהוא לא קו גאודזי. שום טרנספורמציית קואורדינאטות לא יכולה להפוך קו גאודזי לקו שהוא לא גאודזי, ולהפך. צופים שנעים במסלולים גאודזיים וצופים שנעים במסלולים לא-גאודזיים אינם שקולים מבחינה פיזיקלית.
"גרוסמן עליך לעזור לי, אחרת אשתגע!"
באוקטובר 1912, בעודו פרופסור לפיזיקה תיאורטית בציריך, איינשטיין ניסח פחות או יותר את בעייתו. הוא כנראה הרגיש שהרקע המתמטי שלו אינו מספיק כדי לעבוד על הבעיות לבדו. המעבר מפראג לציריך איחד אותו מחדש עם חברו לספסל הלימודים מרסל גרוסמן (Grossmann; 1878 – 1936). הוא פנה לעזרתו של גרוסמן. גרוסמן כתב את הדוקטורט שלו על גאומטריה לא אוקלידית ופרסם שבעה מאמרים בנושא גאומטריה לא אוקלידית. איינשטיין קרא לעברו: "גרוסמן עליך לעזור לי, אחרת אשתגע!". איינשטיין שאל את גרוסמן אם הוא מכיר גאומטריות כלשהן שהן שונות מזו האוקלידית. איינשטיין הזדקק למערכת מתמטית שתסייע לו לגלות את החוקים ששולטים בשדה הכבידה. גרוסמן הסכים בהתלהבות לסייע לאיינשטיין והבטיח לעזור לו בבעיות המתמטיות שקשורות בעבודה על תורת הכבידה. גרוסמן עשה דרכו לספרייה ושב עם תשובה ביום שלמחרת. אכן יש גאומטריה כזאת, אמר גרוסמן לאיינשטיין. שישים שנה קודם לכן ברנהרד רימן (Riemann; 1826 – 1866) פיתח מערכת לא אוקלידית כדי לחקור את התכונות של המרחב העקום. גרוסמן סיפק לאיינשטיין עוד כמה שמות של גאומטריקנים ומתמטיקאים מאמצע המאה ה-19 ועד לשנות המאה ה-20 המוקדמות: אלווין ברונו כריסטופל (Christoffel; 1829 – 1900), ג'ורג'ו ריצ'י (Ricci-Curbastro; 1853 – 1925) וטוליו לוי-צ'יוויטה (Levi-Civita ; 1873 – 1941). והם סיפקו את הכלים הדרושים לאיינשטיין ובסופו של דבר כולם כיכבו בתורת היחסות הכללית.
הגאומטריה של רימן סיפקה לאיינשטיין את הכלי המתמטי שבעזרתו הוא איחד השפעות של כבידה ותאוצה תחת עקרון השקילות בניסוחו המחודש: הכבידה וההתמדה הם שני צדדים של אותו מטבע.
איינשטיין הגיע לתובנה שאפשר לייצג את הכבידה כעקמומיות במרחב-זמן ארבעה-ממדי, כשהמסה פועלת כמקור לעקמומיות של המרחב-זמן. הוא ייצג את הכבידה באמצעות הטֶנזוֹר המטרי. טנזור הוא עצם גאומטרי, הכללה של וֶקטוֹר. סקלר הוא טנזור מדרגה 0, וקטור הוא טנזור מדרגה 1 והבאים בתור הם טנזורים מדרגה גבוהה יותר. במרחב תלת-ממדי לווקטור יש שלושה רכיבים ובמרחב-ארבע ממדי לטנזור מדרגה 1 יש ארבעה רכיבים. דוגמה לשדה וקטורי הוא השדה החשמלי. דוגמאות לטנזור מדרגה 2 הן: השדה האלקטרומגנטי והטנזור המטרי. טנזורים מגדירים את עקמומיות המרחב-זמן כקבועה במעבר ממערכת קואורדינטות אחת לאחרת. הגדרה זו מייצגת את עקרון היחסות המוכלל. הטנזור המטרי מתאר את הגאומטריה של המרחב-זמן העקום, באיזו מידה המרחב-זמן עקום. בנוסף הוא מייצג את השדה הכבידתי (הפוטנציאל של השדה הכבידתי).
מחברת ציריך
הטנזור המטרי העמיד את הבסיס לחיפוש של איינשטיין אחר תורת כבידה יחסותית. במשך יותר משלוש שנים אחרי 1912 חיפש איינשטיין באופן נואש אחר משוואות שדה מתאימות. מאמציו העקלקלים הראשונים השתמרו במחברת של 96 עמודים הקרויה מחברת ציריך. המחברת מכילה חישובים, מרביתם גסים מאוד ולא מעובדים, וניכר שהם מכילים התחלות רבות שגויות, ומופיעים כמעט ללא כיתוב שמסביר את מהותם ופשרם. הרישומים האלה מתוארכים לפרק הזמן שבין קיץ 1912 לאביב 1913.
במחברת ציריך איינשטיין ניסה למצוא משוואת שדה קוֹ-וָריאנטית כללית (או לפחות בעלת קו-וריאנטיות רחבה), כלומר משוואות שהן תקפות בכל מערכות הקואורדינטות. הוא שאף להכליל את עקרון היחסות מתורת היחסות הפרטית לעקרון יחסות כללי.
איינשטיין ניסח משוואות שדה. משוואות השדה שהציע איינשטיין בשלב זה קשרו בין שני גדלים: מצד אחד של המשוואה איברים שמייצגים את הטנזור המטרי. בצִדה האחר טנזור מאמץ האנרגיה (או טנזור צפיפות האנרגיה), שמתאר כמה אנרגיה ותנע קיימים באזור מסוים ולאיזה כיווּן הם זורמים. איינשטיין היה צריך לוודא שמשוואות השדה שלו מספקות את הדרישות הפיזיקליות הבסיסיות: כששדות הכבידה חלשים, עליהן להניב את תורת הכבידה הניוטונית. כמו כן עליהן לקיים את חוקי שימור האנרגיה והתנע. ואולם, התברר לו כי משוואות השדה שלו לא הצטמצמו לגבול הניוטוני, ולהפך. התקבלה סתירה בין שתי הדרישות הפיזיקליות (חוק שימור האנרגיה ועקרון ההתאמה הניוטוני). איינשטיין מחק את משוואות השדה שניסח וניסה לקבל משוואות שדה חדשות. שוב הגיע לסתירה בין שתי הדרישות הפיזיקליות. גם משוואות השדה החדשות שניסח לא סיפקו את אחד משני העקרונות הפיזיקליים. וכך מילא איינשטיין דפים על גבי דפים במשוואות ובמחיקות ולא הצליח להגיע למועמדויות שיספקו את שתי הדרישות הפיזיקליות שהציב לעצמו.
לפני איינשטיין עמדו שתי ברירות: או לשקול מחדש את עקרון ההתאמה הניוטוני או לוותר על טנזור ריצ'י, שמתאר את מידת העקמומיות של המרחב (וכולל בתוכו את הטנזור המטרי ואת נגזרותיו). איינשטיין העדיף את עקרון ההתאמה, וויתר על טנזור ריצ'י.
תורת התכנון (אנטוורף)
באביב 1913, איינשטיין וגרוסמן הפיקו אלטרנטיבה: תיאוריה שמשוואות השדה שלה נבנו כדי להתאים לדרישות של שימור אנרגיה-תנע ותאימות לחוקי ניוטון במצב שבו השדה הכבידתי הוא סטטי וחלש. משוואות השדה של תורת איינשטיין-גרוסמן לא הצליחו להיות קו-וריאנטיות כלליות. מסיבה זו הן אינן מספקות את עקרון היחסות הכללי. על אף העובדה הזאת, איינשטיין וגרוסמן הרגישו שהן המשוואות הטובות ביותר שיכולות לספק את התנאים הפיזיקליים. הכותרת של המאמר של איינשטיין וגרוסמן שיקפה את ההיסוס ואת הזמניות: "תכנון לתורת יחסות מוכללת ותורת כבידה". המאמר ידוע בשם "אֶנטווּרף" (Entwurf בגרמנית: תכנון) ומקובל לכנות את התורה בשם "תורת האנטוורף".
בעקבות פיתוח תורת תכנון זו, במשך כמה חודשים היה איינשטיין מרוצה ומותש והרגיש כי פתר את הבעיה והוא זקוק למנוחה. אבל מהר מאוד הוטרד מן העובדה שמשוואות השדה לא היו קו-וריאנטיות כלליות. ואולם, הוא ניסה לשכנע את עצמו, לפחות למשך פרק זמן, שהמצב בלתי נמנע. איינשטיין עשה זאת באמצעות טיעון שהמציא וקרוי "טיעון החור".
נבחן אזור סופי במרחב-זמן שבו אין חומר כלל, זהו החור. מחוץ לחור שדה החומר קובע לגמרי את רכיבי הטנזור המטרי בתוך החור. זהו טנזור צפיפות האנרגיה במערכת הקואורדינטות המקורית שלנו. עכשיו נבחן מערכת קואורדינטות חדשה. בהגדרה מערכות הקואורדינטות המקורית והחדשה שונות זו מזו בתוך החור. אבל מחוץ לחור ועל שפותיו הן זהות זו לזו. בתוך החור בשתי מערכות הקואורדינטות הטנזורים המטריים שונים זה מזה, ובגלל שלא קיים שום חומר, שדה החומר הוא אפס. טנזור צפיפות האנרגיה במערכת המקורית מחוץ לחור קובע את הרכיבים של שני טנזורים מטריים שונים בתוך החור: הטנזור המטרי במערכת הקואורדינטות המקורית ובמערכת הקואורדינטות החדשה. לפיכך, משוואות השדה אינן יכולות להיות קו-וריאנטיות כלליות, מכיוון שבתוך החור שני שדות מטריים שונים נוצרים על ידי אותו שדה חומר.
התקדמות הפריהליון של כוכב חמה
איינשטיין ניסה לפתור באמצעות תורת האנטוורף חידה, שמאוחר יותר פתר באמצעות תורת היחסות הכללית. הכוונה לחידת התקדמות הפֶּריהֶליוֹן של כוכב חמה (מֶרקוּרי); פריהליון הוא הנקודה הקרובה ביותר לשמש לאורך מסלול ההקפה האליפטי של כוכב לכת. לפי החוק הראשון של קפלר כוכב לכת נע באליפסה כשהשמש מצויה באחד משני מוקדיה. תורת הכבידה הניוטונית מאשרת את החוק הזה בקירוב טוב מאוד. ואולם, התורה הניוטונית גם חוזה שבגלל ההשפעה של כוכבי לכת אחרים, אליפסות אלה הן לא קבועות בחלל אלא הן עוברות נקיפה (פּרֶצֶסיה) אִטית – הציר הראשי של האליפסה זז מעט ומסרטט כעין ספירלה בשמים במסלול סביב השמש. דבר זה קרוי הפרצסיה או ההתקדמות של הפריהליון.
ב-1859 המתמטיקאי אורבן ז'אן ג'וזף לה וֶריֶה (Le Verrier; 1811 – 1877) קבע שיש אי התאמה של בערך 38 שניות-קשת בין הערך שתורת ניוטון חוזה בעבור תנועת הפריהליון של כוכב חמה ובין הערך הנצפה. לה וריה הציע שההפרעות נובעות מכוכב לכת נוסף, שממוקם בין השמש לכוכב חמה. קודם לכן, ב-1846, חזה לה וריה את הקיום של כוכב לכת שהסביר את אי ההתאמה בין התיאוריה לתצפיות במקרה של אורנוס (אורון) – נפטון אכן התגלה כמעט באותו מיקום שבו לה וריה קבע שימצאו אותו. אבל לא נמצא כוכב הלכת שהיה אמור להיות אחראי להתקדמות הפריהליון של כוכב חמה.
ב-1895 האסטרונום האמריקאי סימון ניוקומב (Newcomb ; 1835 – 1909) פרסם ערך חדש של התקדמות הפריהליון של כוכב חמה, 41 שניות קשת (הערך המקובל כיום הוא 43 שניות קשת). ניוקומב סבר שכוח הכבידה קטֵן לא בדיוק ביחס הפוך לריבוע המרחק כמו בתורת הכבידה של ניוטון אלא ביחס קטן יותר. ניוטון עצמו כבר שם לב לכך שכל סטייה מחוק הריבוע ההופכי תיצור תנועה של הפריהליון. בשנים שלאחר מכן הועלו כמה הסברים נוספים להתקדמות הפריהליון. ההסבר המקובל ביותר היה קיום של רצועת חומר באזור שבין כוכב חמה לשמש.
ביוני 1913, חברו הקרוב של איינשטיין מישל בֶּסוֹ (Besso ; 1873 – 1955) ביקר אותו בציריך. איינשטיין ובסו פתרו את משוואות השדה של תורת האנטוורף כדי למצוא את השדה המטרי שנוצר על ידי השמש. הצעד הבא היה לחשב את התקדמות הפריהליון של כוכב חמה בשדה זה. הם חישבו תחילה את השדה המטרי של השמש וקיבלו תוצאה בקירוּב ראשון. אחר כך הם הציבו את התוצאה במשוואות השדה וקיבלו תוצאה מדויקת יותר. מהלך זה מדגים את הסיבוך הפיזיקלי שעומד בבסיס משוואות השדה הלא לינאריות של איינשטיין, עקב השקילות בין המסה לאנרגיה, מאחר ששדה הכבידה נושא כמות מסוימת של אנרגיה, הוא פועל כמקור של עצמו. מכיוון שאנרגיה מפעילה השפעה כבידתית כמו מסה, האנרגיה המוכלת בתוך שדה כבידה היא בעלת השפעה כבידתית. כל שינוי בעוצמת שדה הכבידה גורר שינוי באנרגיה של שדה הכבידה ושינוי זה מוזן חזרה למערכת. לפיכך, גם האנרגיה של נקודת המסה והאנרגיה של השדה המטרי צריכות להיות מובאות בחשבון. איינשטיין ובסו קיבלו משוואה בעבור תנועת הפריהליון של כוכב הלכת בשדה המטרי של השמש ומצאו ביטוי בעבור התקדמות הפריהליון של כוכב חמה. התוצאה חזתה שהשמש יוצרת התקדמות בפריהליון של כוכב חמה של בערך 18 שניות קשת למאה שנה. תוצאה זו הייתה מאכזבת למדי. איינשטיין ובסו חשבו להוסיף גורמים נוספים ובכך להציל את התיאוריה כדי להגיע לתוצאה המיוחלת של 43 שניות קשת, אך הדבר לא עלה בידם.
איינשטיין לא ויתר על תורת האנטוורף גם כשהבין שאינה יכולה להסביר את האנומליה של כוכב חמה. הוא המשיך לעבוד עם התיאוריה במאמריו הבאים, שפרסם ב-1914, ולא הזכיר את התוצאה המאכזבת של העבודה עם בסו. בשלב זה הוא האמין באמיתות התיאוריה. איינשטיין המשיך להחזיק בתיאוריית האנטוורף במשך שנה נוספת.
התחרות בין איינשטיין להילברט
באפריל 1914 עבר איינשטיין לברלין. המעבר לברלין סיים את שיתוף הפעולה בינו לגרוסמן. באוקטובר 1914 הוא פרסם גרסה סופית של תורת האנטוורף במאמר סקירה מקיף. כמה חודשים אחר כך איינשטיין החל לגלות שמשוואות השדה שלו בעייתיות. אפילו הגילוי הזה לא גרם לאיינשטיין להיפטר מיד ממשוואות השדה של האנטוורף. אדרבה, איינשטיין מיהר להוסיף הנחות נוספות במטרה להציל את התיאוריה ולגרום לה לעבוד. רק בתחילת אוקטובר 1915 איבד איינשטיין את ביטחונו במשוואות שבהן בטח מ-1913.
בסוף יוני 1915, הוזמן איינשטיין לתת סדרת הרצאות באוניברסיטת גטינגן על תורת האנטוורף. בגטינגן היה לאיינשטיין העונג הרב לראות שהכול הובן לפרטים על ידי הנוכחים. הוא הוקסם מן המתמטיקאי המבריק דויד הילברט (Hilbert; 1862 – 1943). גם הילברט הוקסם מאיינשטיין ומתורתו, ומיד עם סיום הביקור של איינשטיין החל לנסות להקדים את איינשטיין ולהגיע למשוואות השדה הנכונות. אחרי ביקורו של איינשטיין בגטינגן, הילברט חשב, שאולי יוכל לבצע סינתזה בין תורת החומר ובין הכבידה של גוסטב מאי (Mie; 1869 – 1957) לגישה של איינשטיין לכבידה. מאי הציע תורת איחוד בין התורה האלקטרומגנטית הקלאסית, תורת הכבידה הניוטונית ואלמנטים מתורת הקוונטים המוקדמת. הילברט החל במרוץ קדחתני למציאת ניסוח נכון למשוואות היחסות הכללית. איינשטיין המודאג עבד במרץ ושקע בתיקונים ובעדכונים של משוואות היחסות, והציג אותם החל מה-4 בנובמבר 1915 בפני האקדמיה הפרוסית למדעים מדי שבוע בימי חמישי. בזמן ששדרג את משוואות השדה, כך עשה גם הילברט, שניסה להקדימו. התחרות עם הילברט הסתיימה רק כשאיינשטיין הציג את הגרסה הסופית למשוואות השדה שלו.
ארבעת המאמרים שהציג איינשטיין בנובמבר
במאמר הראשון מה-4 בנובמבר 1915, איינשטיין הסביר שאיבד לגמרי אמון במשוואות השדה של תורת האנטוורף, מ-1914, וחזר לדרישה של קוֹ-וָריאנטיוּת כללית יותר של משוואות השדה, שאותה נטש בלב כבד כשעבד יחד עם חברו גרוסמן ב-1912. כזכור, גרוסמן חיפש בעבור איינשטיין את הכלים המתמטיים בספרייה ואיינשטיין חיפש אחר משוואות שדה קו-וריאנטיות במחברת ציריך. איינשטיין סיפר שלמעשה כבר אז הם הגיעו קרוב למדי לפתרון הבעיה במחברת ציריך.
בשבוע שלאחר מכן הציג איינשטיין משוואות משופרות. הוא התקרב במעט למשוואות השדה הקו-וריאנטיות הכלליות שאותן הציג שבועיים אחר כך. המאמר השלישי ב-18 בנובמבר 1918, עסק בפריהליון של כוכב חמה ועיקום האור על יד השמש. איינשטיין תיקן את חישוביו עם בסו מ-1913 לאור משוואות השדה החדשות שלו מן השבוע הקודם ופתר את הבעיה במהירות רבה. הוא ידע שמשוואות השדה שלו מ-1915 טרם הגיעו לצורתן הסופית. ואף על פי כן, במאמר השלישי הדגים תוצאות נכונות של הסטייה במסלולו של כוכב חמה.
בתורת היחסות הכללית של איינשטיין מקבלים ממשוואות השדה (מבנה מרחב-הזמן והחומר בסביבת השמש) וממשוואת הקו הגאודזי במרחב-זמן, שמתארת את משוואת המסלול היחסותית של כוכבי הלכת בשדה הכבידה של השמש, את הפתרון לבעיה.
כוכב הלכת נע במסלול גאודזי. הוא שרוי בנפילה חופשית בשדה הכבידה של השמש. איינשטיין מצא הבדל בין משוואת המסלול היחסותית שלו ובין משוואת המסלול הניוטונית. ההבדל הוא באיבר אחד נוסף שמופיע במשוואה היחסותית של איינשטיין. הוא החליט לבדוק את ההבדל הזה. המשוואה הניוטונית מניבה מסלול אליפטי שבו נע כוכב הלכת, כשכיוון הציר הראשי והפריהליון שניהם קבועים במקום. איינשטיין ניסה להוסיף לפתרון הניוטוני את האיבר הנוסף שמופיע במשוואת המסלול היחסותית, כדי לראות האם הנקיפה של הפריהליון של כוכב חמה נגרמת כתוצאה מאיבר זה. אם אכן כך, פירוש הדבר שנקיפת הפריהליון היא תוצאה יחסותית, בגלל הימצאות כוכב חמה בשדה הכבידה החזק של השמש. כשהשתמש איינשטיין במשוואת המסלול היחסותית שלו התקבלה אליפסה בעלת ציר ראשי שאינו קבוע במקום. הפתרון אכן הראה שהאיבר הנוסף הוא הגורם להפרעה. כשאיינשטיין הציב ערכים מספריים בפתרון שלו, התקבלה התקדמות בפריהליון של כוכב חמה בערך של 43 שניות קשת למאה שנה. ערך שתואם את התצפיות ושעד לתורת היחסות הכללית לא נמצא לו הסבר.
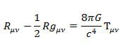
כשניסח לראשונה את תורת היחסות הכללית שמונה שנים קודם לכן בברן ב-1907, חזה איינשטיין שאחת התוצאות של התורה היא שהכבידה תעקם את האור. ב-1911 בעודו בפראג הוא חישב שעיקום האור על ידי שדה הכבידה על יד השמש יהיה בערך 0.83 שניות קשת, נתון שתאם את החיזוי של תורת הכבידה של ניוטון ושל תורת האנטוורף של איינשטיין. ואולם, תורת היחסות המתוקנת מ-1915 חזתה, שעיקום האור על ידי הכבידה יהיה גדול פי שניים. לפיכך כבידת השמש תעקם את קרן האור בערך ב-1.7 שניות קשת. חיזוי זה חיכה לאימות בליקוי חמה מתאים וההזדמנות הגיעה רק ב-1919, יותר משלוש שנים מאז הציג אותו איינשטיין במאמר השלישי. איינשטיין הוסיף ופיתח את תורתו ובמאמר הרביעי ב-25 בנובמבר 1915, הוא הציג את משוואות השדה בצורתן הסופית:

המשוואות שלמעלה מתארות כיצד החומר גורם לעיקום המרחב זמן וכיצד החומר נע במרחב זמן העקום. לדוגמה, השמש מעקמת את המרחב-זמן בסביבתה וכוכבי הלכת נעים במסלולים גאודזיים במרחב זמן זה.
צד ימין של המשוואות מתאר את התפלגות המסה והאנרגיה במרחב-זמן: טנזור צפיפות האנרגיה מוכפל בקבוע יסודי השווה ל-8πG/c4 (כאשר G הוא קבוע הכבידה ו-c היא מהירות האור).
צד שמאל של המשוואות מתאר את הגאומטריה ואת העקמומיות של המרחב-זמן: טנזור ריצ'י והטנזור המטרי.
ב-10 בדצמבר 1915, איינשטיין כתב מכתב לחברו מיקלה בֶּסו וסיפר לו שחלומותיו הפרועים ביותר התגשמו: הוא השיג קו-וריאנטיות כללית ופתר את בעיית הפריהליון של כוכב חמה. הוא חתם בסוף המכתב: "שלך אלברט המרוצה והקַפּוּט (לאמור – והמחוסל)".
המאמר היה אמור להתפרסם בגיליון יולי 2016 של כתב העת גלילאו שהפסיק לצאת לאור ביוני. המאמר עבר עריכה בידי צבי עצמון ומתפרסם כאן באישור עורכת גלילאו מיכל ברונר.
לקריאה נוספת
- איינשטיין: חייו והיקום שלו, וולטר איזקסון, ספרי עליית הגג, תל אביב, 2011
- רעיונות ודעות, אלברט איינשטיין, הוצאת ספרים ע"ש י"ל מגנס, ירושלים, תשס"ה
- הפיזיקה החדשה. התפתחות ההשקפות מן המושכלות הראשונים עד היחסיות והקואנטים, אלברט איינשטיין וליאופולד, אינפלד, ספריית הפועלים והוצאת הקיבוץ הארצי, מרחביה, 1947
- אלברט איינשטיין וחזיתות הפיסיקה, ג'רמי ברנסטיין, ידיעות אחרונות ספרי חמד, תל אביב, 2000
- אלברט איינשטיין -הדרמה של חייו, אנטונינה ולנטין, עיינות הוצאת ספרים, תל אביב, תשט"ו
- אלברט איינשטיין חייו ותורתו, מי ס' וולטר, פתח דבר מאת ברנרד איינשטיין, הוצאת ספרים יבנה תל אביב, 2002
- אלברט איינשטיין סיפורו של גאון, רות ירדני-כץ, בית הוצאת כתר, ירושלים, 1986
- אלברט איינשטיין, אלמה א' לוינגר, הוצאת ספרים נ' טברסקי, תל אביב, תשי"ח
- אלברט איינשטיין חייו ותורתו, אהרון צ'רניבסקי, הוצאת דביר תל אביב, תשי"ר
- היקום של איינשטיין. פריצת דרך בתפישת הזמן והמרחב, מיצ'יו קאקו, אריה ניר הוצאה לאור בע"מ, תל אביב, 2005
- איינשטיין וליקוי החמה המלא, פיטר קולס, הוצאת ספרית פועלים, בני ברק, 1998
- כמו שאיינשטיין אמר, אליס קלפרייס, הקדמה מאת פרימן דייסון, הד ארצי, ירושלים, 1999
- איינשטיין, בבקשה, ז'אן-קלוד קרייר, כתר ספרים, ירושלים, 2005
- אלברט איינשטיין, אליעזר שישא, עם עובד, תל אביב, תשט"ו
- איינשטיין למתחילים, ג'וזף שוורץ ומייקל מקגינס, הוצאת כרמל, ירושלים, תש"ס