בניסוי הנוכחי נכין כופתה של פירות יער, עטופה בציפוי שמיוצר בשיטה של בישול מולקולרי, בלי להשתמש בקמח או בבצק.
ציוד
- רסק פירות יער (100 גרם). אפשר להשתמש גם ביוגורט
- סידן לקטט (1 גרם). אפשר לקנות בחנויות שמתמחות בבישול
- מאזניים לשקילת כמויות קטנות בדיוק של עשירית הגרם
- תמיסת נתרן אלגינט 1.5%. הוראות הכנה ראו כאן
- משורה או כלי אחר למדידת נפח
- מים
- כוסות
- כפיות
בכל מתכוני הבישול המולקולרי, יש להשתמש בציוד המיועד לבישול בלבד (אין להשתמש בציוד ששימש לניסויי מעבדה).
מהלך הניסוי
את מהלך הניסוי אפשר לראות בסרטון הבא:
הסבר
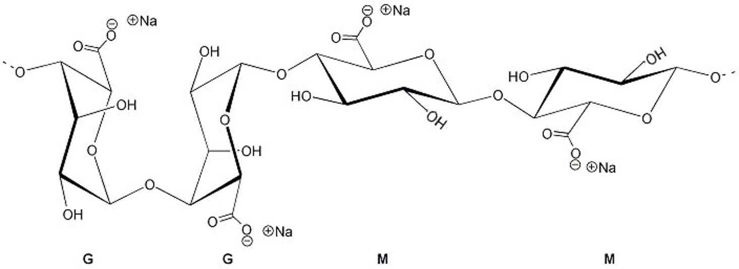
הסוד של הרביולי שלנו הוא האלגינט. האלגינט, כפי ששמו מרמז (מהמילה האנגלית שפירושה אצה: אלגי – algae), הוא חומר שמופק מאצות ים חומות. מבחינה כימית מדובר בפולימר – כלומר מולקולה ענקית שמורכבת מהרבה (פולי) יחידות (מר) שחוזרות על עצמן שוב ושוב בשרשרת ענקית.
המבנה הבסיסי של שרשרת האלגינט הוא כזה:

המבנה הכימי של נתרן אלגינט | איור עובד מויקיפדיה
מתוך סבך נוסחאות המבנה הכימיות אפשר להבחין בארבע טבעות משושות שמחוברות זו לזו. במציאות, כאמור, יש אלפי טבעות שמחוברות זו לזו בשרשרת ענקית.
אם מסתכלים היטב במבנה הכימי הבסיסי של האלגינט, אפשר להבחין שבכל טבעת יש אזור המסומן במינוס (-), שבא לסמן כי בכל טבעת יש אזור טעון במטען חשמלי שלילי, ולידו מסומן Na+, הסימון של הנתרן בתוך נתרן-אלגינט, שטעון במטען חשמלי חיובי (+ הוא יון חיובי), שמאזן את המטען השלילי של הטבעות.
בעיקרון, האלגינט דומה במבנהו לחומר סופג מים שנמצא בחיתולים.
כשממיסים נתרן אלגינט במים, מתקבלת תמיסה סמיכה, אבל לא נוקשה, של שרשראות אלגינט מפוזרות במים – מעין חוטים זעירים ובלתי נראים שגורמים למים להסמיך. כשנתרן אלגינט פוגש מלח של סידן (כמו הסידן לקטט) הוא מתקשה. מבחינה כימית, במלח של סידן קיימים יוני סידן בעל מטען חשמלי +2, שמסוגלים ‘לקשור’ יחד שתי טבעות משתי שרשראות אלגינט שונות (על כל טבעת יש מטען חשמלי +1), וכך ליצור רשת תלת-ממדית – כפי שאפשר לראות באנימציה הבאה:

בפועל, המסנו תחילה סידן לקטט בתוך מחית פירות – כך שתכיל ריכוז גבוה של יוני סידן בתוכה. כשאנחנו מכניסים כפית ממחית הפירות לתוך תמיסת נתרן אלגינט, יוני הסידן שבמחית קושרים את שרשאות אלגינט שנמצאות בתמיסה ונוגעות במחית, כך שכעבור דקות ספורות המחית מצופה בכיסוי אלגינט שקוף ונוקשה יחסית, שכולא בתוכו את המחית הרכה. כך אנחנו מקבלים את המבנה הידוע של הרביולי (מחית רכה עטופה במעטפת אטומה).
כפי שנאמר בסרטון, אפשר להשתמש למילוי בחומרים אחרים במקום מחית פירות. מוצרי חלב (כמו יוגורט) מכילים כבר סידן, כך שאין צורך להוסיף להם סידן לקטט להקשיה (או שלפחות אפשר להסתפק בכמות קטנה יותר של סידן – נסו ובדקו את המידות הנכונות).
מתכוני בישול מולקולרי נוספים:
ספגטי משוקו
קוויאר ממיץ פטל
מיץ תפוזים שקוף