בניסוי הזה נשתמש באמצעים ביתיים להכנת דיו סתרים, באמצעותה נכתוב הודעה סודית בכתב סתרים בלתי נראה על נייר, וגם נלמד איך לחשוף את הכתוב.
הניסוי מחייב השגחה של מבוגר!
ציוד
- כוס
- מכחול דק או מקלון צמר-גפן
- חלב או מיץ לימון (אפשר להשתמש גם בחומץ, מיץ תפוחים, מיץ מבצל, תמיסה של מים עם סוכר, דבש מהול במים, תמיסת סבון, ואפילו רוק או שתן)
- דף נייר
- טוסטר
הניסוי
את מהלך הניסוי אפשר לראות בסרטון:
לא חייבים רק טוסטר ‘משולשים’ כדי לחשוף את הכתוב, אבל טוסטר הוא אמצעי הפיתוח הבטיחותי והמומלץ ביותר.
הסבר
מדיו סתרים יש שתי דרישות: הראשונה היא שהדיו תהייה בלתי נראית, והשנייה היא שאפשר יהיה להפוך את הדיו לנראית ולקרוא את ההודעה הכתובה בה. כל סוגי הדיו האפשריים שהזכרתי ברשימת הציוד הם או לבנים / לבנבנים (כמו חלב או מיץ מבצל) או שקופים יחסית (רוק, מיץ לימון, מיץ תפוחים). לכן כאשר כותבים בהם על נייר לבן, בייחוד כאשר מדובר בשכבה דקה מאוד של הדיו, אי אפשר לראות את הכתוב. עלי לציין שלעתים אפשר לראות שינוי קטן ב’מרקם’ של הנייר: במקומות שעליהם נכתבה ההודעה, הנייר מתקמט קצת. לכן אם רוצים שההודעה תהייה ממש בלתי נראית, אפשר לקמט את כל הנייר אחרי שהדיו מתייבשת, וכך הקימוטים שנוצרו מהדיו יוסוו בין שאר הקימוטים, וההודעה תהייה בלתי נראית לגמרי – זו הסיבה שההודעה שמוצגת בתחילת הסרטון ומפותחת בסופו כתובה על נייר מקומט…
ה’פיתוח’ של הדיו שבניסוי, כלומר הפיכת הדיו הבלתי נראית לנראית, נעשה באמצעות חימום. למעשה יש שתי דרכים קצת שונות שבהן החימום הופך את הדיו לנראית. הראשונה היא שכל חומרי דיו הסתרים שהזכרנו מכילים תרכובות אורגניות רבות – כלומר חומרים שמקורים ביצורים חיים. תרכובות אורגניות אינן עמידות בחום, וכשהן מתחממות הן מתחילות לעבור תהליך שנקרא פירוליזה (פירו – אש, אבל בפועל מה שמניע את התהליך הוא החום, ליזה – פירוק) – פירוק באמצעות חום. אם תהליכי הפירוליזה מתרחשים בסביבה שאין בה מספיק חמצן, אז במקום שהחומרים יישרפו הם יעברו תהליכי פירוק שיובילו בסופו של דבר לפחמון (הפיכה לפחם, משום שכל התרכובות האורגניות הן למעשה תרכובות של פחמן), תהליך כזה עובר למשל על עץ שנמצא בתוך מדורה. כשכותבים על הנייר בדיו הסתרים, התרכובות האורגניות נספגות בדף ונשארות בין סיבי הנייר. כשמחממים את הנייר המולקולות האורגניות שנלכדו בין הסיבים מתחילות לעבור את תהליך הפירוליזה – מתפרקות, מתפחמות (לפחות חלקית) ומשנות את צבען. גם הנייר עצמו הוא חומר אורגני, וגם הוא מתפרק בחום, אולם טמפרטורת הפירוק של הנייר גבוהה יותר מזו של החומרים האורגניים שנמצאים בדיו הסתרים, ולכן הדיו הופכת משקופה לחומה לפני שהנייר עצמו מתחיל להשחיר.
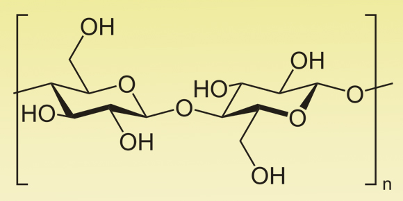
הדרך השנייה לפיתוח הדיו גם קשורה לפירוליזה, אבל לא של הדיו אלא לתגובה כימית שמתרחשת בין הדיו לנייר: החומר העיקרי שממנו מורכב נייר הוא תאית (צלולוזה). התאית היא פולימר, כלומר חומר שמורכבת משרשרת ארוכה של מולקולות קטנות יותר שמחוברות יחד. התאית היא פולימר של הסוכר גלוקוז (או גלוקוזה).

מולקולות גלוקוז בפולימר תאית. מוצג חיבור של שתי מולקולות – בפועל אלה שרשראות של אלפים | מקור: ויקיפדיה, נחלת הכלל