תורת הכאוס מתארת התנהגות של מערכות דינמיות המגלות רגישות גבוהה לשינויים קטנים בתנאי התחלה .בתורת הכאוס ארוע קטן יכול להוביל לתגובת שרשרת שאינה ניתנת לחיזוי.
הסרטון מדגים תגובת שרשרת הנגרמת מארוע קטן אחד.
הכאוס מתואר באופן ציורי כ "אפקט הפרפר" – משמעותו: תלות עדינה בתנאי ההתחלה של המערכת גורמת לשרשרת ארועים המובילים לארוע בסדר גודל גדול יותר, כמשק כנפי פרפר העשוי ליצור שינויים קטנים באטמוספירה שבסופו של דבר יגרמו להופעת סופת טורנדו.
תורת הכאוס מראה כי גם במערכות פשוטות ודטרמניסטיות יש מצבים בלתי ניתנים לחיזוי, כי לשם כך יש צורך בידיעת התנאים ההתחלתיים בדיוק אינסופי.
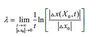
עבור תנועה שאינה כאוטית מסלולים קרובים יסטו ליניארית עם הזמן ובמקרה הכאוטי הסטייה תהיה אקספוננציאלית, תכונה זו ניתנת לניסוח מתמטי בעזרת אקספוננט ליאפונוב:

הוא המרחק ההתחלתי בין המסלול מקורי והמסלול שמתחיל עם הסטה קטנה
הוא המרחק בין המסלולים במהלך התנועה
עבור λ>0 המערכת כאוטית, וככל ש λ- גדול יותר המערכת יותר כאוטית כלומר ניתן לחזות את התפתחותה לפרק זמן יותר קצר.
פזיה מילר
מכון ויצמן למדע
הערה לגולשים
אם אתם חושבים שההסברים אינם ברורים מספיק או אם יש לכם שאלות הקשורות לנושא, אתם מוזמנים לכתוב על כך בפורום. אנו נתייחס להערותיכם. הצעות לשיפור וביקורת בונה יתקבלו תמיד בברכה.