בשנים האחרונות גילו המדענים מערכת פיזיקאלית חדשה ומעניינת. כאשר שתי תחמוצות שונות מוצמדות זו אל זו, בשטח המגע שביניהן, נלכדים אלקטרונים, ויוצרים מערכת אלקטרונים דו-ממדית. מערכת זו הינה מעניינת במיוחד, שכן מצב היסוד שלה, אליו נכנסת המערכת בטמפרטורות נמוכות במיוחד, עשוי להשתנות ממערכת למערכת. מצב זה תלוי במספר פרמטרים, ביניהם צפיפות האלקטרונים בשכבה.
מבין התחמוצות הללו, שתיים יוצרות מערכת מעניינת במיוחד. בממשק שבין שתי התחמוצות LaAlO3 ו-SrTiO3 נוצרת שכבת אלקטרונים שקופה (ראו תמונה), אשר לה שני מצבי יסוד – על מוליך, כלומר שכבה הנושאת זרם חשמלי ללא התנגדות, או מבודד, שכבה אשר אינה מסוגלת להוליך חשמל – עולם והיפוכו.
כאשר מצב היסוד של השכבה הינו על מוליך, ניתן לבחון תכונה חשובה שלו, הטמפרטורה הקריטית. זוהי הטמפרטורה אשר בטמפרטורות נמוכות ממנה החומר הינו על מוליך.
מעבר הפאזה בין על מוליך למבודד, הינו מעבר מוכר ומעניין, אשר נחקר במספר מערכות שונות אולם טרם מובן במלואו. לאחרונה הצליחה קבוצת מדענים לייצר התקן אשר שולט על צפיפות האלקטרונים הכלואים בשכבה הדקה שבין LaAlO3 ו-SrTiO3. על-ידי שינוי צפיפות האלקטרונים, הצליחו החוקרים להעביר את המערכת ממצב על מוליך ומצב מבודד, כלומר מעבר הפאזה נשלט כרגע על-ידי פרמטר חיצוני אותו יכולים החוקרים לשנות באופן רציף.
החוקרים נידפו שכבה דקה של LaAlO3 על גבי מצע של SrTiO3, ומתחת למצע נידפו שכבת זהב אחידה. על-די שינוי הפוטנציאל החשמלי של שכבת הזהב, שינו החוקרים את צפיפות האלקטרונים בשכבה הדו ממדית שבין התחמוצות. במתחים שליליים, צפיפות האלקטרונים ירדה, ובחיוביים, עלתה.
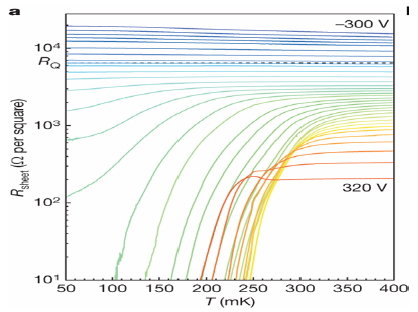
החוקרים מדדו את התנגדות שכבת האלקטרונים בטמפרטורות שונות, ובריכוזים שונים. החוקרים הבחינו במעבר ממערכת מבודדת בטמפרטורות נמוכות, למערכת על מוליכה, וחקרו את תלות הטמפרטורה הקריטית של העל מוליכים בצפיפות האלקטרונים.
למחקר הזה משמעויות חשובות בשני תחומים, המחקרי, והמעשי. בתחום המחקר, שינוי ריכוז האלקטרונים באמצעות מתח חשמלי, מבלי לשנות את הרכבם הכימי של התחמוצות, אפשר לחוקרים, ויאפשר בעתיד לחקור את חוקי הפיזיקה ששולטים בהתנהגות האלקטרונים.
בתחום המעשי, החוקרים יצרו למעשה התקן, בעל שני מצבים – על מוליך ומבודד, אשר ניתן לעבור ביניהן בקלות יחסית באמצעות הפעלת מתח חשמלי חיצוני. התקן זה יכול לתפוס מקום חשוב מאוד בדור חדש של אלקטרוניקה מהירה, אולם לשם כך, יהיה על המדענים למצוא דרך להעלות את הטמפרטורה הקריטית של העל מוליך, אשר כיום הינה נמוכה ביותר (פחות ממעלת קלווין אחת, שהיא כ-272 מעלות צלזיוס).

שכבת האלקטרונים השקופה

התנגדות שכבת האלקטרונים
בתמונה משורטטת ההתנגדות הנמדדת של שכבת האלקטרונים הדו ממדית, בטמפרטורות שונות, ומתחים שונים של שכבת הזהב (אדום – מתח חיובי גבוה, כחול – מתח חיובי נמוך). במתחים שליליים, התנגדות השכבה אינה קטנה עם ירידת הטמפרטורה. במתחים חיובים גבוהים, ההתנגדות יורדת ל- 0, והשכבה הינה על מוליכה.
בבליוגרפיה
1. A.D. Cavigila, S. Gariglio, N. Reyren, D. Jaccard, T. Schneider, M. Gabay, S. Theil, G. Hammerl, J. Mannhart and J-M. Triscone, Nature 456, 624 (2008)
2. Darrell G. Schlom and Charles H. Ahn, Nature 456, 582 (2008)
הערה לגולשים
אם אתם חושבים שההסברים אינם ברורים מספיק או אם יש לכם שאלות הקשורות לנושא, אתם מוזמנים לכתוב על כך בפורום. אנו נתייחס להערותיכם. הצעות לשיפור וביקורת בונה תמיד מתקבלות בברכה.