כולנו מקשרים את המילה "סוכר" לטעם מתוק, לאספקת אנרגיה מיידית ולהשמנה. אולם במהלך 30 השנים האחרונות, עם ההתפתחות של טכנולוגיות מחקר חדשות, התברר שקיים מגוון גדול מאוד של מבנים סוכריים שממלאים תפקידים חיוניים רבים ומגוונים, הן בגופנו והן ביצורים אחרים. להלן כמה מתפקידי הסוכרים בגוף:
תפקידים מבניים
1. ייצוב חלבונים
מולקולות סוכריות מקבעות את המבנה התלת-ממדי של החלבון שאליו הן קשורות, באמצעות המטען, המסה, הנפח והצמיגות שלהן, וכך הן תורמות ליציבותו התרמית. הן גם מונעות ממולקולות חלבוניות להידבק זו לזו ומשפרות את מסיסותן במים.
דוגמה לשרשרת סוכרים שקשורה לחלבון | האיור לקוח מוויקיפדיה
2. סיוע בקיפול חלבונים
המולקולות הסוכריות עוזרות לחלבון להתקפל נכון בזמן היווצרותו. נמצא שחלבונים שלא התווספו אליהם שיירי סוכר מתאימים, לא התקפלו נכון או שהתפרקו.
3. שלד מולקולרי
סוכרים הם גם חלק מהשלד הסלילי הענק של מולקולת הדנ"א, והם אלה שנושאים עליהם את הבסיסים החנקניים השונים.
4. מיסוך והגנה
נפח הסוכרים גדול לעומת המסה שלהם, לכן הם יכולים להסתיר אתרים שאליהם הם קשורים. כך הם יכולים, למשל, להגן על חלבונים מפני אנזימים מפרקי-חלבונים, נוגדנים או רצפטורים (קולטנים) של אורגניזמים מחוללי מחלות.
5. ארגון מדורי
חלק מהמבנים הסוכריים גדולים מאוד ויש להם מטען גבוה. סוכרים כאלה ממלאים תפקיד מבני חשוב בסידור מדורים בגוף. למשל, המטריצה החוץ תאית (שהיא החלק ברקמות בעלי חיים שמקיף את התאים ונותן להם תמיכה מבנית) בנויה ממבנים סוכריים כאלה שמקנים לה יציבות וגמישות גם יחד. כך גם הסחוס (שהוא רקמת חיבור), שנמצא כי הסוכרים חיוניים לקיומו.
תפקידי אנרגיה
1. סוכר הגלוקוז ממלא תפקיד חשוב בתהליך הפקת האנרגיה ובתהליך הנשימה התאית. צמחים מייצרים אותו במהלך תהליך הפוטוסינתזה ומשתמשים בו לחילוף חומרים. הוא משתתף גם בתהליכי חילוף החומרים בגופנו. בלעדיו לא נוכל להתקיים.
2. סוגים מסוימים של שרשראות סוכריות ארוכות מאוד משמשים כחומרי תשמורת, כלומר כחומרים שמנוצלים בעת הצורך להפקת אנרגיה. דוגמה לכך היא הגליקוגן, שמצוי בעיקר בכבד, אבל גם בשרירים ובכליות, ומשמש לשימור עתודות אנרגיה זמינה בגוף.

מולקולת גליקוגן: ליבה חלבונית קשורה לשרשראות סוכר ענקיות | האיור לקוח מוויקיפדיה
תפקידי קישור
1. ויסות תהליכים
סוכרים שקשורים לחלבונים משפרים או מונעים את הקישור של החלבונים למולקולות אחרות, בדומה למתג הפעלה (On/Off). לדוגמה, נוגדן מסוג IgG (למידע נוסף ראו מאמר אצלנו על נוגדנים) שסוכריו הורדו ממנו לא יוכל למלא חלק מתפקידיו בתהליך החיסון.
2. מגע בין תאים
סוכרים שנמצאים על פניהם של תאים בגוף מסייעים למגעים בין התאים ולהעברת מסרים ביניהם. כך, למשל, מתאפשרות אינטראקציות בין הביצית לתא הזרע, וכך גם מוצאים תאי דם לבנים את דרכם לאזורי דלקת.
3. סימון
נוכחותם או היעדרם של סוכרים מסוימים מסמנים את הסטטוס של תאים ו/או חלבונים מסוימים. לדוגמה, ישנם סוכרים שמשמשים סמנים לכך שהתא שעל פניו הם יושבים הוא תא סרטני; סוכרים אחרים, שיושבים על פניהם של תאי דם אדומים, משמשים סמנים לסוג הדם (O, A, B, AB); ואילו שרשראות סוכריות שמאבדות את היחידה הסוכרית הקרויה חומצה סיאלית, מאותתות כך לגוף לפנות את החלבון שעליו הן יושבות.
4. תפקיד עוגן או כיור
ישנן שרשראות סוכריות מסוימות קושרות מולקולות מסוימות לאתר מסוים, וכך מונעות מהן להתרחק ממנו. פרוטיאוגליקנים, למשל, הם חלבונים מסוכרים שקושרים אליהם מולקולות שונות באמצעות הסוכרים הטעונים שלהם וכך גם מגנים עליהן מתהליכי פירוק.
5. תפקיד חיסוני
מערכת החיסון יודעת לזהות סוכרים זרים שחדרו לגוף ולהיפטר מהם. בדרך כלל זו תופעה חיובית, אך לפעמים מערכת החיסון שוגה ומזהה בטעות מבנים סוכריים של הגוף עצמו בתור מבנים זרים ומפתחת נגדם תגובה חיסונית. במקרים אלה מתפתחת מחלה אוטואימונית שבה הגוף תוקף את עצמו.
6. קישור לאורגניזמים אחרים
ישנם סוכרים שהגוף משתמש בהם כפתיון: הם נקשרים לקולטנים של אורגניזמים מחוללי מחלות ומונעים מהם לחדור לגוף. סוכרים אחרים עושים בדיוק את ההיפך: הם קושרים אליהם יצורים סימביוטיים, (כלומר יצורים שנמצאים בתוך הגוף ומועילים לתפקודו, למשל חיידקי מעיים) ומעודדים את הישארותם בגוף. ומנגד, קיימים מקרים שבהם יצורים זרים שאינם רצויים מערימים על הגוף ומצליחים להיקשר לסוכרים שלו כדי לחדור פנימה. דוגמה לכך היא נגיף השפעת שנקשר לסוכר שנמצא על פני תאי אפיתל במערכת הנשימה בגופנו וכך מצליח לחדור פנימה ולחולל מחלה.
כאמור, קיימים הרבה מבנים סוכריים שונים זה מזה ולעתים ההבדלים ביניהם קטנים מאוד, אבל חשובים להסתגלות ולבלבול האויב. יש תיאוריה שגורסת שמחוללי מחלות ומארחיהם נלחמים ביניהם באמצעות הסוכרים שלהם ולא באמצעות החלבונים, כי יש גבול למספר המוטציות שאפשר להכניס לחלבון בלי לשנות את תפקודיו – שחשובים הן לקיומו של מחולל המחלות והן לקיומו של המארח. הדבר דומה להסכם בלתי כתוב בין צבאות שמחליטים להילחם ביניהם בחזית ולא בעורף.
אבל איך מתאפשר מגוון גדול כל -כך של מבנים?
כמו בדנ"א ובחלבונים, גם משפחת הסוכרים מורכבת ממספר מצומצם יחסית של יחידות בסיסיות, והחיבורים ביניהן הם שמאפשרים את המגוון העצום של המבנים הקיימים. היחידות הבסיסיות הללו קרויות חד-סוכרים (Monosaccharides) והן בנויות משלד טבעתי מחומש או משושה שמכיל אטום חמצן אחד והיתר אטומי פחמן. לשלד הזה מחוברות קבוצות הידרוקסיליות (-OH) ואטומי מימן (H), או קבוצות כימיות אחרות (מתמירים). אופן ההיווצרות של הטבעות מודגם בסרטון הבא – הפחמימות.
קבוצת ה-OH, שיושבת על פחמן מס. 1 בטבעת (כמסומן באיור), קרויה הידרוקסיל אנומרי, והיא זו שמשתתפת בקישור לטבעת סוכרית נוספת. הקבוצה הזו יכולה להיות בעמדה α (כלומר במישור ניצב למישור הטבעת) או בעמדה β (כלומר: במישור הטבעת). היכולת של מולקולת החד-סוכר ליצור קשרים עם מולקולה נוספת מעמדה α או מעמדה β מאפשרת יצירה של שתי מולקולות דו-סוכר שונות.

צורות ה-α וה-β של D-גלוקוז | האיור לקוח מוויקיפדיה
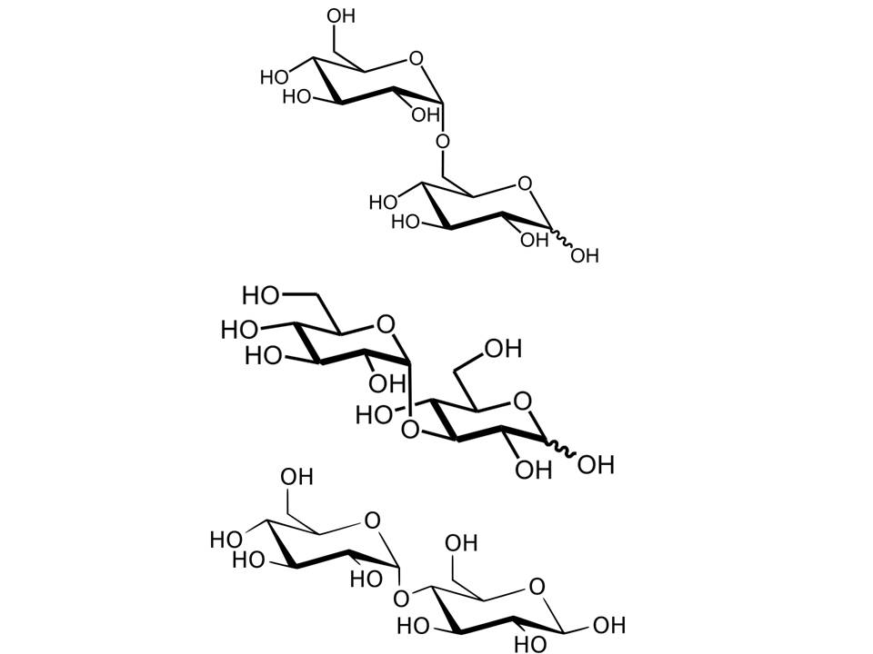
בנוסף, כל הידרוקסיל אנומרי של חד-סוכר אחד יכול להיקשר אל הסוכר האחר באחת מכמה נקודות קישור, דרך קבוצות הידרוקסיל או דרך מתמירים שנמצאים עליהן. כך יכולים להיווצר עוד כמה סוגים של מולקולות דו-סוכר שונות מכל שני חד-סוכרים שמגיבים ביניהם. באיור הבא מוצגות שלוש דוגמאות של דו-סוכרים שונים שבנויים משתי יחידות גלוקוז; בכולם ההידרוקסיל האנומרי של גלוקוז אחד מחובר בקשר מסוג α אל הגלוקוז השני, אבל בכל פעם החיבור הוא לעמדה אחרת. יש כמובן אפשרויות נוספות לקישור של שני הגלוקוזים פרט לאלה שמודגמות כאן.

מלמעלה למטה: איזומלטוז, ניגרוז ומלטוז| האיור לקוח מוויקיפדיה
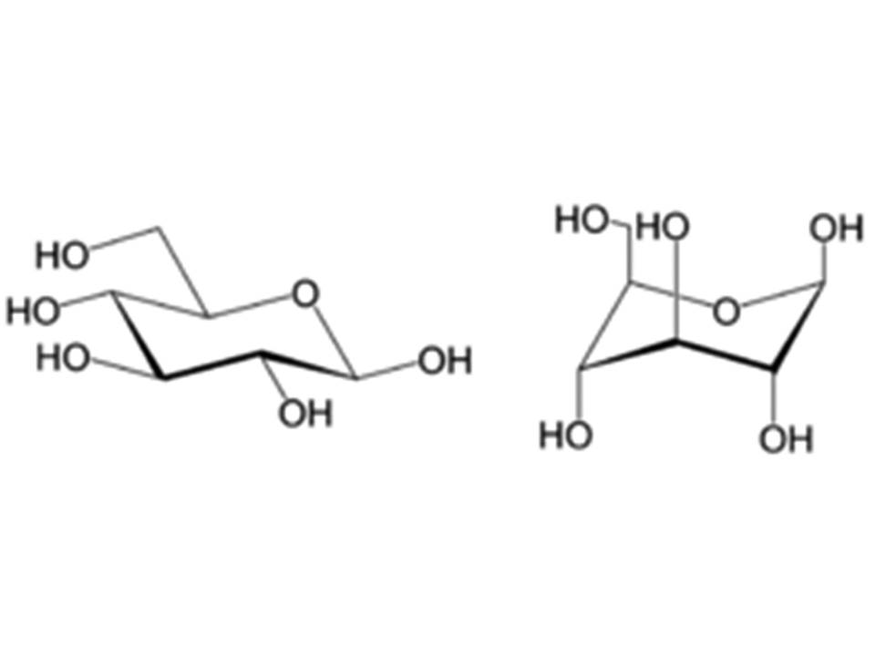
מעבר לכך, לטבעת סוכרית יכולות להיות שתי תצורות כיסא (על שם דמיונן לכיסא, כפי שאפשר לראות באיור הבא), מה שמגדיל עוד יותר את מגוון הדו-סוכרים שנוצרים משתי יחידות מסוימות של חד-סוכר.

שתי תצורות הכיסא של β-D-גלוקוז | האיור לקוח מוויקיפדיה
על כל אלה יש להוסיף את העובדה שלא כל הסוכרים זהים, ולכן הקישור בין כל החד-סוכרים האפשריים מגדיל באופן משמעותי את מספר הסוגים של הדו-סוכרים שייווצרו.
סוכרים נפוצים על חלבוני תאים אאוקריוטיים | האיור לקוח מוויקיפדיה
כל דו-סוכר יכול להמשיך ולהיקשר הלאה לסוכרים נוספים, זהים או שונים, וליצור אינספור שרשראות ענקיות תלת-ממדיות. אבל… בפועל הדברים לא מתנהלים כך. החיבור בין טבעות סוכריות נעשה באמצעות אנזימים מיוחדים והגוף מפעיל בקרה על סוג הטבעות שנקשרות בו, על סוג הקשרים ועל אורך השרשראות המיוצרות. כך הגוף מייצר את הסוכרים הדרושים לו, בתזמון הנכון ובמקום הנכון. מאחר שבניגוד לחלבונים, הסוכרים אינם מקודדים על ידי הדנ"א אלא מסונתזים מקומית על ידי אנזימים, יש חשיבות לתנאי הסביבה המקומית (חומציות, טמפרטורה, רכיבים) שגם הם נתונים לבקרה של הגוף.
ד"ר מיכל קם
בוגרת מכון ויצמן למדע
הערה לגולשים
אם אתם חושבים שההסברים אינם ברורים מספיק או אם יש לכם שאלות הקשורות לנושא, אתם מוזמנים לכתוב על כך בפורום. אנו נתייחס להערותיכם. הצעות לשיפור וביקורת בונה יתקבלו תמיד בברכה.