לאונרדו פיבונאצ'י נולד בפיזה שבאיטליה בשנת 1175. תרומתו העיקרית למתמטיקה הייתה בכך שהשפיע על המעבר משיטת הספרות הרומיות לשיטה ההודית-ערבית הנהוגה עד היום. שמו היה כה מפורסם בימי חייו עד כדי כך שהקיסר פרידריך השני ערך בעת ביקורו בפיזה תחרות חידות פומבית רק כדי לעמוד על כישרונותיו של המתמטיקאי המהולל. בין השאר חד הקיסר לפיבונאצ'י את החידה הבאה: "מהו המספר שריבועו יישאר ריבוע גם אחרי שיוסיפו לו חמש או יגרעו ממנו חמש?" (אתם מוזמנים לנסות את כוחכם בפתרון החידה).
הארנבות של פיבונאצ'י
פיבונצ'י, שכתב חמישה ספרי מתמטיקה, התעניין בעיקר בתורת המספרים. באחד מספריו מופיעה חידה העוסקת בהתרבות של ארנבות: לתוך כלוב סגור מכניסים זוג ארנבות בוגר. בסוף כל חודש הם ממליטים זוג חדש – זכר ונקבה. כל זוג של ארנבות שמגיע לחודש השני לחייו ממליט גם הוא זוג של גורי ארנבות בסוף כל חודש. אם אין תמותה של ארנבות, כמה זוגות יהיו בכלוב בתחילת כל חודש?
אם נחשוב על החידה לרגע ניווכח שבתחילת החודש הראשון יהיה בכלוב זוג אחד של ארנבות, בתחילת החודש השני יהיו שני זוגות (הזוג המקורי המליט זוג אחד בסוף החודש הראשון), בתחילת החודש השלישי יהיו שלושה זוגות (הזוג המקורי המליט זוג נוסף בסוף החודש השני והזוג השני עדיין לא המליט) בחודש הרביעי יהיו חמישה זוגות וכן הלאה.
אם נרשום את מספר הארנבות בכלוב כסדרה של מספרים נקבל את הסדרה הבאה:
1, 2, 3, 5, 8, 13, 21, 34, 55, 89, 144, 233…
פיבונאצ'י העיר בספרו שזו סדרה מיוחדת מכיוון שכל מספר בסדרה הוא סכום של שני המספרים הקודמים לו.
פיבונאצ'י המשיך וחישב את מספר זוגות הארנבים הנולדים בכל חודש. להפתעתו הוא קיבל כמעט את אותה הסדרה, כשהשינוי היחיד היה האיבר הראשון:
1, 1, 2, 3, 5, 7, 13, 21, 34, 55, 89, 144, 233…
נוסחה מופלאה
פשטות הסדרה ותכונותיה המופלאות הותירו רושם עז על פיבונאצ'י ועל דורות של מתמטיקאים שבאו אחריו.
סדרת פיבונאצ'י מוגדרת כך: Fn=Fn-1+Fn-2, כאשר Fn הוא האיבר במקום ה-n בסדרה, והוא מתקבל על ידי הוספת האיבר במקום ה-n-1 לאיבר במקום ה-n-2. שני האיברים הראשונים אינם יכולים להיקבע על פי הנוסחה הזו, אולם נהוג להציב בהם את המספרים 0 ו-1. כאשר האיברים הראשונים הם מספרים אחרים מכנים זאת "סדרה דמוית פיבונאצ'י" או "סדרה פיבונאצ'ית כללית".
אחת הסדרות מהסוג הזה היא הסדרה שמתחילה באיברים: 2 ו-1. הסדרה הזו מכונה "סדרת לוקס", על שם המתמטיקאי הצרפתי אדוארד לוקאס בן המאה ה-19. סדרת לוקס נראית כך: 2, 1, 3, 4, 7, 1 … והיא קשורה קשר הדוק לסדרת פיבונאצ'י.
לוקס היה זה שהחל לקרוא לסדרה המקורית של פיבונאצ'י "סדרת פיבונאצ'י", אף שפיבונאצ'י עצמו לא טען מעולם לזכויות יוצרים עליה. למעשה, מתמטיקאים הודים הכירו את הסדרה הרבה לפני זמנו. נראה כי פיבונצ'י, שהכיר היטב את המתמטיקה ההודית, גילה שם את הסדרה ומצא לה שימושים נוספים.
סדרת פיבונאצ'י מופיעה בהרבה מאוד מצבים לא צפויים. טענה די מבוססת מצביעה למשל על כך שמספרים מסדרת פיבונאצ'י נפוצים מאוד בטבע. אחת הדוגמאות לכך היא פרח החמנייה, שיש לו 34 עלי כותרת. לפרחים רבים נוספים יש מספר עלי כותרת שנמצא גם בסדרת פיבונאצ'י. לתופעה הזו ניתנו הסברים שונים ומשונים, ורובם קשורים למספר מתמטי מיוחד בשם "יחס הזהב", שעליו נרחיב בהזדמנות אחרת.
פתרונן של חידות קומבינטוריות לא מעטות מתקבל תוך שימוש במספרי פיבונאצ'י. דוגמה מובהקת לכך היא החידה הבאה: נניח שיש לנו שטרות של 100 שקל ושל 200 שקל בלבד ואנחנו רוצים לדעת בכמה דרכים אפשר ליצור בעזרתם סכומים שהם כפולות של 100 שקל (100 שקל, לדוגמה, אפשר ליצור בדרך אחת בלבד; 200 ש"ח אפשר ליצור בשתי דרכים: 100+100 או 200 וכן הלאה). התשובה המתקבלת היא הסדרה הבאה: 1, 2, 3, 5, 8… וכן הלאה. מזהים? !
אחד השימושים היותר "מתמטיים" של סדרת פיבונאצ'י הוא בחישוב משולשים פיתגוראיים. משולש פיתגוראי הוא משולש ישר זווית שאורכי כל צלעותיו הן מספרים שלמים. משולשים כאלה מקיימים כמובן את משפט פיתגורס הקובע כי סכום ריבועי הניצבים במשולש שווה לריבוע היתר. לא קל למצוא משולשים פיתגוראים, והידוע ביותר מביניהם הוא המשולש 3, 4, 5, שכן 32+42=52.
אם תנסו בעצמכם למצוא משולשים פיתגוראים נוספים שאינם מכפלה של המשולש 3, 4, 5, מלאכתכם מן הסתם לא תהיה קלה אם תשתמשו בניסוי וטעייה. אך בעזרת ארבעה מספרים רצופים מסדרת פיבונאצ'י ואלגוריתם קצר אפשר למצוא בקלות עוד משולשים רבים כאלה!
ניקח לדוגמה את מספרי פיבונאצ'י 1, 2, 3, 5. נסמן את השניים הראשונים ב-a ו-b. מכיוון שהם מסדרת פיבונאצ'י, המספר השלישי ייכתב כ-a+b והרביעי (b+(a+b או a+2b.

כעת ניצור משולש פיתגוראי לפי הצעדים הבאים:
א. כפלו זה בזה את שני המספרים האמצעיים (בדוגמה שלנו 2*3 שווה 6).
ב. כפלו את התוצאה ב-2 (בדוגמה שלנו 6*2 שווה 12). זה יהיה אחד הניצבים של המשולש שאנו יוצרים.
ג. כפלו זה בזה את שני המספרים הקיצוניים (בדוגמה שלנו 1*5 שווה 5). זה יהיה הניצב השני של המשולש שאנו יוצרים.
ד. את היתר תמצאו על ידי חיבור הריבועים של שני המספרים האמצעיים (בדוגמה שלנו 22 הוא 4, 32 הוא 9 וסכומם הוא 13). זהו היתר של המשולש שלנו.
כך התקבל המשולש הפיתגוראי: 5, 12, 13. בעזרת האלגוריתם הזה אפשר למצוא משולשים פיתגוראים רבים נוספים. אותו אלגוריתם פועל גם בסדרה פיבונאצ'ית כללית, ואפשר להוכיח שהוא מוצא את כל המשולשים הפיתגוראים האפשריים – יש אינסוף כאלה!
מציאת איבר בסדרה
מתמטיקאים רבים התעניינו בתכונותיה המופלאות של סדרת פיבונאצ'י והעלו שלל שאלות מעניינות. אחת מהן הייתה אם קיימת נוסחה שתאפשר לחשב מהו מספר פיבונאצ'י במקום כלשהו בסדרה.
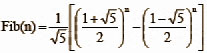
אחד הראשונים שהציעו נוסחה כזאת היה המתמטיקאי הצרפתי אברהם דה-מואברה, וזו הנוסחה שלו:
אף שדה-מואברה היה המתמטיקאי שמצא את הנוסחה הזו לראשונה, היא נקראת דווקא על שמו של מתמטיקאי אחר שגילה אותה אחריו – נוסחת בינט.
המספר
שמופיע בנוסחה הזו הוא מספר אי-רציונלי מיוחד המכונה "מספר הזהב" ונהוג לסמנו באות היוונית פִי (פה רפה) שסימנה f. המספר השני,
, שווה ל-
.
הראינו כאן על קצה המזלג כמה מתכונותיה המופלאות של סדרת פיבונאצ'י. המתעניינים יוכלו למצוא אוצר של ממש באתרו של המתמטיקאי האנגלי רון נוט המוקדש למספרי פיבונאצ'י. האתר כתוב באנגלית.