בעשרת החודשים האחרונים ראינו איך מושגים אקדמיים ומדעיים מחלחלים אל הציבור הרחב. שוב ושוב שמענו בכלי התקשורת דיונים על גידול מעריכי (אקספוננציאלי), אפידמיולוגיה, איגום דגימות או שיטוח עקומות. המושגים חלחלו אפילו לשיחות בחיק המשפחה, עם זאת, נדמה שלא תמיד משמעותם ברורה לשומעים, ולפעמים אפילו לדוברים עצמם.
אחד מהמונחים הללו הוא מקדם ההתרבות, המכונה לעיתים מקדם ההדבקה או מקדם ההתפשטות. זהו אחד המונחים הבסיסיים באפידמיולוגיה, והוא מסומן באות האנגלית R. רובנו מבינים שהמקדם הזה מייצג את קצב ההדבקה, אבל מהו באמת ה-R הזה, שנדמה לא פעם שביכולתו לקבוע את עתידנו , ואיך מחשבים אותו?
איך מתפשטת מחלה מידבקת?
המודלים הפשוטים ביותר בחקר התפשטות מחלות מחלקים את האוכלוסייה לשלוש קבוצות. הראשונה הם עלילים (Susceptible), כלומר כל אלה שעלולים להידבק במחלה אם יבואו במגע עם נשא. כשאדם פגיע נדבק במחלה, הוא עובר לקבוצת המדביקים (Infectious), כלומר אלה שעלולים להדביק אחרים.
במחלת COVID-19, הנגרמת על ידי נגיף הקורונה SARS-CoV-2, היכולת להדביק מתחילה כנראה ימים ספורים לפני הופעת התסמינים ונמשכת בדרך כלל כשבוע וחצי אחרי הופעתם. גם מי שלא מפתחים תסמינים (כחמישית מהנשאים, לפי ההערכות) עדיין עלולים להדביק אחרים, ולכן בישראל נהוג להמליץ על בידוד לכל מי שתוצאת הבדיקה שלו חיובית לנוכחות נגיף הקורונה.
מבין מי שהחלימו מהמחלה, חלק יפתחו רמת חסינות מספקת על מנת להגן עליהם מפני הדבקה נוספת במחלה. אלה הם החסינים (Recovered או Removed), הקבוצה השלישית.
שמו של המודל האפידמיולוגי הפשוט ביותר, מודל SIR, נגזר מראשי התיבות של שלוש האוכלוסיות (Susceptible, Infectious, Recovered). מטרתו לחשב כמה עלילים יידבקו בממוצע מאדם חולה אחד. "מקדם ההתרבות הבסיסי", או R0, נגזר ממודל זה.
במחלות שבהן ה-R0 הוא 1, כל מודבק ידביק בממוצע רק אדם אחד נוסף לפני שיחלים או ימות, כך שמספר המודבקים הכולל יישאר קבוע. אם R0 קטן מ-1, כל מודבק ידביק בממוצע פחות מאדם אחד והמחלה תלך ותדעך. אם הוא גדול מ-,1 מספר המודבקים יגדל והמחלה תתפשט באוכלוסייה.
לפי מודל SIR הבסיסי, אם R0 שווה למשל ל-4, המודבק הראשון ידביק בממוצע ארבעה אנשים וכל אחד מהם ידביק בתורו ארבעה אנשים נוספים. כך הגענו בשלב השני ל-16 מודבקים, שידביקו 64, שידביקו 256 וכן הלאה – גידול מעריכי שבו כל שלב מכפיל את קודמו באותו מקדם.
כך נראה גידול מעריכי. סרטון עם כתוביות בעברית:
מאחר ש-R0 מוכפל בעצמו שוב ושוב, כל שינוי קטן בו יתפתח לאורך זמן להבדל דרמטי. למשל מעריכים כי ה-R0 של מחלת החצבת, שנחשבת מידבקת במיוחד, עומד על 18-12, ואילו מקדם ההדבקה של שפעת מזן H1N1 הוא כ-1.5. לפי מודל SIR, אם שתי המחלות יתפשטו באוכלוסייה פגיעה לחלוטין, במחזור ההדבקה הרביעי יהיו כבר כמאה אלף חולי חצבת ורק חמישה חולי שפעת.
חוקרים ברחבי העולם השקיעו בחודשים האחרונים מאמצים רבים לחשב את ערכו של R0 במחלת COVID-19. האומדנים משתנים על פי המדינה בה ה-R חושב, התקופה בה הוא חושב וכמובן, מאפייני ההתפרצות הייחודיים לכל מדינה. למשל, ההערכות הראשוניות נעות סביב 6-3.6 באירופה ו-7.3-4.7 בארצות הברית. גם אם נקבל רק את ההערכות הנמוכות, עדיין מדובר במחלה מידבקת מאוד, שמקדם ההתרבות הבסיסי שלה יותר מכפול מזה של שפעת.
החיים הקשים של האפידמיולוגים
מדוע ערכי ה-R0, אפילו עבור מחלות שמוכרות משחר ההיסטוריה כגון חצבת או אבעבועות שחורות, ניתנים כטווח רחב של "18-12" או "6-3.5"? איך ייתכן שלא ידוע ערכו האמיתי של R0?
מעצם מהותו לא יכול להיות ל-R0 ערך יחיד. מספר האנשים הממוצע שידביק כל נשא תלוי במשתנים רבים, כגון התנהגות חברתית, הרכב האוכלוסייה, צפיפותה, שונות גנטית, המדיניות של רשויות הבריאות, תנאים סביבתיים ועוד.
- תרבות: למשל מחלה כמו כלמידיה (Chlamydia), המופצת בין אנשים פעילים מינית, תתפשט במהירות באוכלוסייה שיש בה ייצוג יתר לאוכלוסייה כזו, ולאט יותר באוכלוסייה ששיעור הפעילים מינית בה (או קצב תחלופת הפרטנרים) נמוך יותר.
- סביבה ואקלים: למשל מלריה, טפיל המופץ באמצעות יתוש האנופלס, דורש סביבה בה יש הן את הטפיל והן את התנאים הדרושים לקיום היתוש. מסיבה זו נקבל את ״חגורת המלריה״ – האזור בעולם בו תהיה הדבקה גבוהה יחסית, ושככל שנתרחק ממנו סביבת המחיה תהיה ידידותית פחות לאנופלס וההדבקה תצטמצם.
- תנאי מחיה: תזונה, מגע חברתי קרוב וקהילה צפופה שאי אפשר להימנע בה ממפגש הדוק, כגון שכונות עוני או בתי כלא, כולם אלמנטים שישפיעו על התפשטות המחלה.
בנוסף, צריך להביא בחשבון ש-SIR הוא מודל פשטני למדי. מודלים אפידמיולוגיים מתוחכמים יותר מתחשבים גם בגורמים נוספים שישפיעו על האופן שבו נפרש את מקדם ההדבקה המחושב. האוכלוסייה, למשל, אינה הומוגנית ומחולל המחלה לא מסתובב בתוכה ומדביק באופן אחיד כפי שמניח במובלע המודל הבסיסי.
בפועל, במחלות רבות נמצאו "מפיצי-על", שמדביקים הרבה יותר אנשים מהממוצע. התופעה הזאת יכולה לקרות בגלל מחולל המחלה עצמו, כמו במקרה המפורסם של הטבחית מרי מאלון מניו יורק, שהדביקה במשך שנים עשרות אנשים במחלת טיפוס הבטן שקיננה בה בלי לחולל תסמינים. במקרים אחרים אדם יכול להפוך למפיץ-על עקב אורח חייו, למשל סגנון דיבור מוחצן או פעילות חברתית מוגברת. הדומיננטיות של היבטים כאלה עשויה להיות שונה ממקום למקום, בשל הבדלים בקודים החברתיים וההתנהגותיים, בתנאי הסביבה או בגנטיקה. וגם אלה עשויים להשפיע על מקדם ההתרבות הבסיסי.
באוכלוסייה מציאותית ומגוונת גם יהיו תמיד אנשים שמקיימים באופן שוטף מגעים רבים בעלי פוטנציאל הדבקה, ולעומתם אנשים שנעים במעגלים מצומצמים יותר. ככל שתת-האוכלוסייה פעילה יותר או גרה בצפיפות גבוהה יותר, גם ה-R0 שלה צפוי להיות גבוה יותר. בהתאם לכך חבריה יידבקו מהר יותר. מקדם ההדבקה הכללי יהיה שילוב של מקדמי הההדבקה של האוכלוסיות השונות שמהן מורכבת החברה כולה, וערכו הממוצע ישתנה בהתאם להרכב האוכלוסייה המדביקה, שגם היא משתנה לאורך הזמן. לא פשוט אם כן להבין כיצד בדיוק לפרש את ערכו של R0 ואיך לחזות באמצעותו את המשך התפשטות ההדבקה.

אמצעי הגנה שונים יכולים להוריד את מקדם ההדבקה בפועל. נשים מוסלמיות במלזיה שומרות על ריחוק פיזי בשעת תפילה | צילום: Azura Hanif, Shutterstock
מקדם ההדבקה בפועל וחסינות עדר
ערכו של R0, אם כן, הוא ממוצע שמשתרע על פני טווח רחב למדי התלוי בגורמים חברתיים, גיאוגרפיים, דמוגרפיים, אקלימיים ותרבותיים רבים. מקדם ההדבקה בפועל באוכלוסייה ספציפית, שנקרא Rt או פשוט R, יושפע לעומת זאת מגורמים רבים. אחד מהם הוא כמות האנשים שעוד אפשר להדביק.
ככל שהמחלה תתפשט יותר כך יותר אנשים יחלו, יסבלו מסיבוכים או ימותו ממנה. המשמעות היא שיישארו פחות אנשים פגיעים למחלה, במחיר של סיבוכים ומוות אצל מי שחלו בה. אם המחלה תתפשט מספיק, עד שחלק ניכר מהאוכלוסייה כבר החלים או מת ממנה, בסופו של דבר ערכו של R ילך וירד, וכשיגיע אל מתחת ל-1 וישאר שם תושג "חסינות עדר" והמחלה תתחיל לדעוך מאליה. במצב הזה נשא מידבק לא יפגוש די אנשים פגיעים כדי להפיץ את המחלה הלאה.
חסינות העדר היא הסיבה שבעטיה חצבת אינה מתפשטת כאש בשדה קוצים ואילו בשפעת, שמידבקת הרבה פחות ממנה, חולים יותר אנשים. החסינות הזאת הושגה בזכות אחד הפלאים הגדולים של הרפואה המודרנית: חיסונים – הנשק העיקרי של המין האנושי למאבק במחוללי מחלות על ידי הקטנת R.
חצבת היא מחלה מידבקת מאוד, כך שבין 92 ל-95 אחוז מהאוכלוסייה צריכים להיות חסינים לה כדי להגיע לחסינות עדר. אבל בזכות הכיסוי החיסוני הנרחב, העומד בארץ על כ-96 אחוז, אוכלוסיית הפגיעים קטנה מאוד ונגיף החצבת לא מצליח להתפשט. אותם ארבעה אחוזים שאינם יכולים להתחסן עקב בעיות בריאותיות או מגבלות אחרות מוגנים על ידי חסינות העדר. שיעור ההתחסנות לשפעת, לעומת זאת, נמוך הרבה יותר, וגם החיסון עצמו פחות יעיל, בעיקר בגלל ריבוי מוטציות בזני השפעת. לכן, אף על פי שה-R0 של השפעת נמוך הרבה יותר מהחצבת, ה-R שלה עדיין גדול מ-1 בחורף והיא מתפשטת.
חיסונים הם הדרך הבטוחה היחידה להגיע לחסינות עדר, אך יידרשו ככל הנראה עוד כמה חודשים עד שיגיעו די חיסוני קורונה לכל תושבי המדינה, ותמימות הדעים בקרב אפידמיולוגים הינה שהאוכלוסייה הפגיעה בישראל עדיין גדולה מאוד. לכן כדי להוריד את R מתחת ל-1 מבלי להסתכן בתחלואה רחבת היקף, סיבוכים ותמותה, מנסים להשפיע על מספר העלילים שנחשפים לנגיף. עושים זאת על ידי עטיית מסיכות הגנה, שמירה על ריחוק פיזי, מניעת התקהלויות וכדומה.
צעדים אלה נוטים לשבש מאוד את חיי היומיום, וחלקם כרוכים גם במחיר גבוה מבחינה חברתית, כלכלית ואישית, כך שאנשי המקצוע מנסים להמעיט בהם ככל האפשר. לשם כך נעשים מאמצים רבים ומתמשכים להעריך את מקדם ההדבקה באופן מיטבי ולהתאים אליו את הצעדים שבהם אנו נוקטים. המטרה היא לצמצם ככל האפשר את ההפרעה למרקם החיים אך גם למנוע התפרצות בלתי נשלטת של המגפה.
חילוץ המקדם מתוך מידע רועש
אומדן ראשוני של מקדם ההדבקה היומי נקבל מחלוקה של מספר המקרים שנתגלו היום במספר המקרים שהתגלו אתמול. אבל האומדן הזה אומדן בעייתי. בראש ובראשונה הוא רגיש מאוד לאירועים מקומיים. תהליכים כמו התפשטות מחלה מתאפיינים בגרפים משוננים מאוד ומלאי עליות וירידות חדות, שקשה לראות בהם את המגמה הכללית. היחס בין מספר המאומתים היום ואתמול יושפע מאוד מקפיצות מקומיות, במיוחד כשמספר המאומתים קטן. אם נביט למשל על גרף החולים המאומתים היומי של החודשיים האחרונים נראה מיד עד כמה קשה להבחין במגמה הכללית, בגלל השונות בתוך השבוע, קפיצות מקומיות, בדיקות סקר שלא נערכות בסופי השבוע ועוד.

גרף מאומתים יומי | מקור: בסיס הנתונים של מספר הנדבקים, משרד הבריאות. עיבוד הנתונים: נעמה חלקון
שיטה מקובלת להתמודד עם גרף רועש שכזה היא לחשב לכל נקודה בגרף את הממוצע שלה ושל שכנותיה. הנה למשל אותו גרף כשכל נקודה היא הממוצע לאורך שבעה ימים. מאחר שכל שבוע מאובחנים אלפי נדבקים חדשים, ההשפעה של התפרצויות מקומיות על הגרף מצטמצמת כך מאוד.

גרף מאומתים יומי, בממוצע נע על פני שבעה ימים | מקור: בסיס הנתונים של מספר הנדבקים, משרד הבריאות. עיבוד הנתונים: נעמה חלקון
כעת המגמה הרבה יותר ברורה, ואפשר לראות שבעקבות הסגר בתקופת החגים, מספר המאומתים היומי ירד בקצב פחות או יותר קבוע מאז אמצע אוקטובר, אך קצב הירידה התמתן בהדרגה בסוף החודש עד שבעקבות הסרת ההגבלות, בשבוע השני של נובמבר החל מספר המקרים המאומתים היומי לעלות מחדש.
חישוב כזה של יחס מספר המאומתים בתאריך מסוים לעומת תאריך קודם נקרא "מקדם ההכפלה". הוא משמש קירוב למקדם ההדבקה אך אינו זהה לו. כדי להגיע ממנו למקדם ההדבקה צריך לקחת בחשבון שמודבק בקורונה אינו מידבק באופן זהה לכל אורך תקופת ההדבקה, ולהתחשב גם ב"פונקציית כושר ההדבקה" (Infectiousness profile). כאן החישוב הופך סבוך יותר, ואלה מכם שמעוניינים להתעמק במתמטיקה שלו מוזמנים לעיין במסגרת.
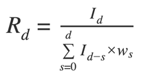
מכון גרטנר, שבחישוביו עושה שימוש משרד הבריאות הישראלי, מתבסס על מודל מקובל ונפוץ לחישוב מקדם ההדבקה שפורסם ב-2013 ב-American Journal of Epidemiology, ותוּקף בבחינה השוואתית מול מודלים אחרים. אפשר לסכם את המודל במשוואה הבאה:

עבור כל יום (d) מחושב מקדם ההדבקה לאותו יום (Rd) על פי חלוקה של מספר הנדבקים החדשים באותו יום בפועל (Id), במספר האנשים הצפויים להידבק באותו יום על סמך הנדבקים שאותרו בימים הקודמים.
מספר הנדבקים הצפוי ביום d מחושב על פי המכפלה של סכום האנשים שנדבקו לפני s ימים ב-ws, שהוא החלק היחסי של ההדבקות שמודבק בקורונה צפוי לגרום להן s ימים אחרי שנדבק, כלומר ביום d. ws נקבע בהתאם לפונקציית כושר ההדבקה של הקורונה.
לאחר שקיבלנו Rd עבור שבעה ימים רצופים, הממוצע של כולם ייצג את מקדם ההדבקה של היום האמצעי מבין השבעה.
הנחת העבודה היא שיש יחס קבוע בין מספר המקרים המאומתים למספר הנדבקים בפועל, כך שחישוב לפי מספר המקרים המאומתים יעיד על מספר הנדבקים.
השימוש במקדם ההדבקה בישראל
ניתוח מידע מחקירות אפידמיולוגיות מעלה כי בממוצע לוקח כשבוע מרגע שאדם נדבק ועד שהוא מאומת כמודבק. בנוסף, עקב הצורך למצע את המקדם שקיבלנו על פני חלון זמן של שבוע, המקדם שבידינו מעודכן לשלושה ימים אחורה – הממוצע של שבעת הימים בשיטת החישוב שבה משתמש משרד הבריאות מוגדר כערך של היום האמצעי מביניהם, בהתאם למומלץ בספרות המחקרית.
אם כן, מקדם ההדבקה המחושב מסייע לנו להבין את תמונת המצב של הנדבקים לפני עשרה ימים: שבוע שחולף עד שאנו מאמתים את הנדבקים, ועוד שלושה ימים למיצוע ה-R והחלקת רעש. מאחר שתמונת המצב שאנו מקבלים מגיעה באיחור של שבוע וחצי, קובעי המדיניות שמתבססים על הנתונים הללו נדרשים לנקוט משנה זהירות ולקחת טווחי ביטחון, בדומה לנהג מכונית שמקבל את תמונת הכביש שעליו הוא נוסע באיחור של כמה שניות.
כדי לוודא שאין תחלואה סמויה, כלומר פער בין מספר המקרים המאומתים המתגלים למספר הנדבקים בפועל, נבדקים מדדים נוספים. ביניהם נמצאים למשל מקדם ההכפלה של מאושפזים חדשים בהזזה יחסית של תשעה ימים אחורה, ומקדם ההדבקה של חולים קשים חדשים בהזזה יחסית של 12 ימים אחורה.

גידול מדאיג בכל המדדים. מקדם ההדבקה בחישוב על פי שלושה מדדים שונים, נכון ל-6.12 | מקור: דו"ח "תמונת מצב יומית COVID-19", ערוץ הטלגרם של משרד הבריאות
בשבועות האחרונים ניכר בלבול בציבור עקב הסתירה לכאורה בין התראות המומחים על הידרדרות המצב לבין העובדה שמספר המתים והחולים הקשים בבתי החולים ממשיך לרדת. אבל יש להבדיל בין תמונת המצב הרגעית לבין המגמה. ההידרדרות במצבם של חולים קשים אורכת כמה שבועות, כך שאלה שיצאו מבתי החולים בסוף נובמבר, אחרי שהחלימו או הלכו לעולמם הם אלה שחלו כחודש לפני כן, בסוף הגל השני כאשר הסגר שהוטל נתן כבר את אותותיו והוריד מאד את התחלואה.
הירידה הזאת במספרי החולים שאושפזו לפני כשלושה שבועות מסתירה את ההחמרה הגוברת במספר המאושפזים והחולים הקשים החדשים, הנכנסים בכל יום. ואכן קצב שחרור החולים הקשים התמתן בהדרגה ומאז תחילת דצמבר מספר החולים הקשים הכללי בבתי החולים חזר לעלות.
מדד חשוב אך מוגבל
מקדם ההדבקה הוא כלי חשוב בהערכת מצב התחלואה וגיבוש המדיניות, כל עוד מודעים למגבלותיו – למשל האפשרות שיש שינויים ביחס בין מספר המקרים המאומתים שנמצאו בבדיקות לבין מספר הנדבקים בפועל. על כן מחשבים גם מדדים נוספים, כגון מספר החולים המאומתים היומי ושיעור הבדיקות החיוביות.
בנוסף, למרות חשיבותו של מקדם ההדבקה, המלצות משרד הבריאות מתבססות גם על פרמטרים נוספים, כגון מספר החולים הכללי, שיעור התחלואה לנפש במישור המקומי והארצי והתפלגות גיליהם של הנדבקים. לנתון האחרון יש משמעות רבה כיוון שלהתפרצות גדולה יחסית של קורונה באוכלוסייה צעירה יהיו השלכות שונות מהתפרצות קטנה יותר שממוקדת, לדוגמה, בבתי אבות.
על פי משרד הבריאות כדי לגבש את המלצותיו לדרג הפוליטי, הדרג המקצועי מצליב בין כל המדדים האלה למקדם ההדבקה, לצד בחינת הנתונים ברזולוציה גבוהה יותר ברמת המגזר, הרשות המקומית ואפילו השכונה.
ייעוץ אפידימיולוגי: עמותת מדעת.