ראשית – נסביר מה זה בכלל אוסמוזה. לפי ההגדרה המקובלת אוסמוזה היא ‘מעבר של ממס דרך קרום בררני בכיוון מפל הריכוזים’. הבעיה היא שההגדרה לא ברורה לחלוטין למי שלא מכיר את התופעה.
בצורה פשוטה יותר – אוסמוזה זה פשוט מעבר של חומרים דרך מסננת, זה הכל. כמו שיש מסננת שמעבירה חול אבל לא מעבירה אבנים, או שיש מסננת (נפה) עם חורים דקיקים שמעבירה רק את גרגירי הקמח הזעירים, ככה יש מסננות בגדלים יותר ויותר ויותר קטנים – עד כדי מסננות שמעבירות מולקולות קטנות ולא מעבירות מולקולות גדולות. השוני היחיד במסננת מולקולות היא שהיא יכולה גם לסנן חומרים לפי תכונות כימיות (כמו מטען חשמלי) ולא רק לפי גודל.
ומה הוא בדיוק אפקט האוסמוזה? נסביר שוב באמצעות ההקבלה למסננת. נניח שיש לנו 2 מסננות, שיכולות להעביר דרכן גרגירי חול, אבל חוסמות את דרכן של אבני חצץ. במסננת אחת (השמאלית בציור למטה) שמנו רק חול, ובמסננת השנייה (הימנית בציור) שמנו תערובת של חול וחצץ. איזה מסננת תסנן בקצב יותר מהיר?

ההגיון הפשוט אומר, שבגלל שאבני החצץ לא עוברים בחורי המסננת הם עלולים להתקע בהם, לסתום אותם חלקית, או סתם להפריע לזרימת גרגירי החול. כתוצאה מכך החול יזרום יותר מהר במסננת השמאלית, ללא החול.
באוסמוזה, מתרחש, באופן מעשי, בדיוק אותו הדבר, רק שהפעם מדובר במולקולות בגדלים שונים, ולא בתערובת של חול וחצץ. נניח שיש לנו כלי שבמרכזו יש מסננת ברמה האטומית (=ממברנה=קרום בררני, בהמשך אתן דוגמאות לחומרים כאלה) שמעבירה מולקולות קטנות של מים הבנויות משלושה אטומים בלבד, H2O, אבל לא מעבירה מולקולה גדולה של סוכר בישול, סוכרוז, C12H22O11, המורכבת מ-45 אטומים.

סוכרוז. (סוכר בישול רגיל). תמונה באדיבות ויקיפדיה
בחצי כלי השמאלי שופכים מים טהורים, ובחצי כלי הימני שופכים בדיוק אותו נפח של תמיסה של מי-סוכר, כפי שמופיע בתמונה הבאה (העיגולים הכחולים מיצגים מולקולות מים, והצורות הוורודות את הסוכר). מה יקרה?

ובכן, יקרה מה שקרה במקרה של החול והחצץ, כיוון שמולקולות במצב צבירה נוזל כל הזמן זזות חלקן יתקלו במסננת האטומית, וחלקן יעברו דרך החורים שבה, בדומה למסננת עם החול הנקי, בחצי עם המים הטהורים קצב המעבר יהיה גבוה יותר מבחצי עם מי-הסוכר (כי הסוכר סתם יפריע למים לעבור במסננת, יחסום אותם), כתוצאה מכך, כעבור מספר דקות נראה את המצב הבא:

גובה פני המים השתנה, המים אמנם זרמו משני צידי המסננת, אבל ‘נטו’, בגלל פחות הפרעות בחצי השמאלי – יותר מים זרמו ממנו אל החצי הימני, והסיבה היא פשוט סטטיסטיקה פשוטה (הסיכוי של מים לעבור משמאל לימין יותר גבוה מהסיכוי לעבור מימן לשמאל, במובן יותר נרחב תהליך האוסמוזה הזה הוא אחד מביטוייו של החוק השני של התרמודינאמיקה, ראו הקישור למטה).
התהליך של עליית המים נעצר בסופו של דבר – כאשר קצב מעבר המים מימין לשמאל משתווה לקצב מעבר המים משמאל לימין, זה מתרחש עקב 3 סיבות:
1. שטח המגע של התמיסה הימנית עם המסננת עולה, בעוד שהשטח בחצי השמאלי יורד.
2. התמיסה בצד הימנית נעשית יותר ויותר מהולה, כך שכמעט מגיעה למצב של מים טהורים, (והתמיסה בצד השמאלי, עם קיימת, נהפכת יותר ויותר מרוכזת).
3. עקב הפרש הגבהים בין התמיסות נוצר על המולקולות בצד ימין לחץ גבוה יותר מאלה שבצד שמאל. אפשר למדוד את הלחץ הזה פשוט על ידי מדידת ההפרש בגובה המים (החץ מצד ימין לציור). גובה המים מתורגם ישירות ליחידות של לחץ. הלחץ בו התגובה נעצרת נקרא גם ה’לחץ האוסמוטי’ של התמיסה.
אפשרי גם תהליך של אוסמוזה הפוכה: אם לוקחים מים מלאי זיהומים, או מלחים, מכניסים אותם לכלי אטום שבתחתית שלו יש ממברנה (מסננת אטומית) שחדירה רק למים, ומפעילים לחץ על המים באמצעות משאבת-לחץ: המים יעברו דרך המסננת, ויטפטפו החוצה נקיים, בעוד שהזיהומים או המלחים ישארו בתוך הכלי – כי הם לא יכולים לעבור דרך המסננת.
תהליך של אוסמוזה הפוכה, כזו, הוא תהליך מאוד חשוב, הוא תהליך ידוע ונפוץ של התפלת של מי-ים. כמו כן זהו התהליך באמצעותו הכליות מסננות את השתן על רעליו מתוך הדם.
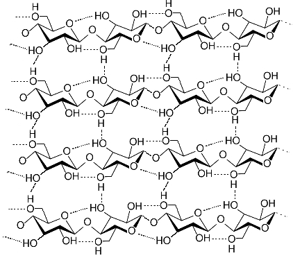
ומבחינה מולקולארית – איך נראים המסננים האטומים הללו? המסנן הידוע ביותר (ובעל השימוש הרב ביותר, בדיאליזה, וגם בהתפלת מים) הוא הפלסטיק צלופן (זה הפלסטיק השקוף המרשרש שעוטף סוכריות, בונבונירות או להבדיל, קופסאות סיגריות). הפלסטיק הזה הוא מלאכותי-למחצה, ובעצם עשוי מהחומר הטבעי תאית (צלולוזה). מבנהו הכימי הוא כזה:

מבנה מולקולרי של צלולוזה והפלסטיק צלופן. איור Laghi.I תמונה באדיבות ויקיפדיה.
כפי שניתן לראות, בין שרשראות המולקולות, ישנם רווחים שמאפשרים למולקולות קטנות לעבור. סוג של צלופן משמש במכשירי דיאליזה: הוא מעביר דרכו מים, מלחים שונים, ורעלים שונים (כמו אוראה ואמוניה) ומשאיר בתוך הדם חלבונים, סוכרים חיוניים, בדומה לפעולת הכליות הטבעית.

שק דיאליזה עשוי צלופן, מסנן את הדם באמצעות אוסמוזה. תמונה באדיבות ויקיפדיה
קרומי התאים הם גם ממברנה חצי חדירה, אבל שם הסינון הוא יותר מתוכחם: בגלל מבנה הממברנה (מחומצות שומן, ראו הסבר על חומצות שומן בקישורים למטה) היא טעונה מטען חשמלי בקצה החיצוני (שבנוי מראש חומצת השומן) אבל בחלקה הפנימי היא – שמנונית. והתוצאה היא שאטומים ומולקולות טעונים מטען חשמלי (יונים) לא יכולים לעבור את ממברנת התא. הם צריכים תעלה מיוחדת כדי להכנס לתא. תהליכים רבים ביותר בעולם הביוכימי מבוססים על תהליך האוסמוזה, האוסמוזה ההפוכה, והממברנה הבררנית.