ויטמין C הינו ויטמין מסיס במים אשר גוף האדם איננו אוגר. אנו מקבלים אותו מהמזון, כולל פירות הדר, ברוקולי ועגבניות.
ויטמין C משמש לגידול ותיקון רקמות בכל הגוף. הויטמין עוזר לגוף לייצר קולגן – חלבון חשוב המשמש לייצור העור, הסחוס, הגידים, הרצועות וכלי הדם. בנוסף, ויטמין C דרוש לריפוי פצעים ולתיקון ותחזוקה של העצמות והשיניים. ויטמין C הינו נוגד חמצון, כמו גם ויטמין E, בטא קרוטן ועוד מזונות צמחיים רבים. נוגדי חמצון חוסמים חלק מהנזק נגרם על ידי רדיקלים חופשיים שמזיקים ל-DNA. הצטברות של רדיקלים חופשיים לאורך זמן עשויה לתרום לתהליך ההזדקנות ולהתפתחות של מצבים בריאותיים כגון סרטן, מחלות לב ודלקות מפרקים.
נדיר שיש חסר רציני בויטמין C, אך יש לא מעט אנשים עם רמות נמוכות של הויטמין. עישון סיגריות מפחית את הכמות של ויטמין C בגוף, ולכן מעשנים נמצאים בסיכון גבוה יותר של חסר בויטמין. צורה חמורה של מחסור ויטמין C ידועה בשם צפדינה.
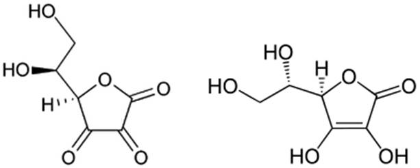
ולשאלתך – כתוצאה מחימום, ויטמין C מתחמצן, כלומר הכהלים אשר נמצאים על הטבעת הופכים לקטון.

ויטמין C בצורתו המקורית (מימין) והמחומצנת (משמאל) – התמונות לקוחות מויקיפדיה.
כיוון שהגוף שלנו איננו יכול לאכל (לפרק) את הצורה המחומצנת של הויטמין, לויטמין כבר אין חשיבות ביולוגית, ואינו יכול להיספג בגופנו.
לנה יאדגרוב, דוקטורנטית, המחלקה לחומרים ופני שטח, מכון ויצמן למדע
הערה לגולשים
אם אתם חושבים שההסברים אינם ברורים מספיק או אם יש לכם שאלות הקשורות לנושא, אתם מוזמנים לכתוב על כך בפורום. אנו נתייחס להערותיכם. הצעות לשיפור וביקורת בונה תמיד מתקבלות בברכה.