שלום שושנה,
התייבשות קשורה לחוסר איזון במאזן הנוזלים בגוף. היא מתרחשת כשאנחנו מוציאים נוזלים מהגוף בזיעה ובשתן יותר מכמות הנוזלים שאנחנו מכניסים פנימה בשתייה (או במקרים קיצוניים בעירוי). ככלל, אדם ששותה מספיק נוזלים יחסית לאלה שהוא מוציא, לא יתייבש – בלי קשר לצבע עורו או למינו. עם זאת, מחקרים מצאו קשר בין צבע העור והמין לבין הנטייה להתייבש.
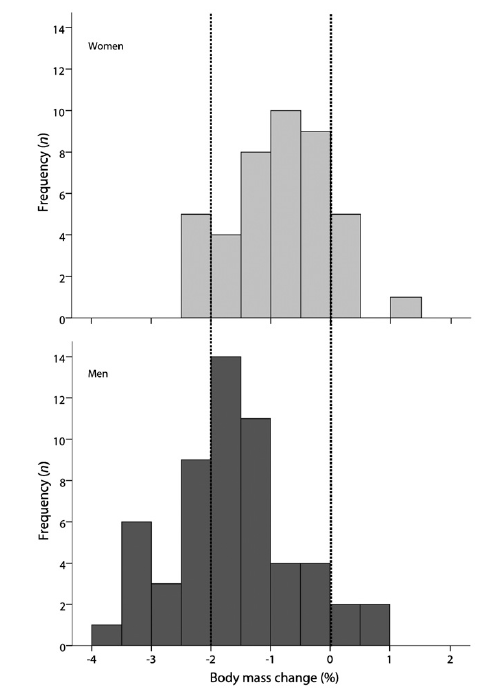
בנוגע למין נמצא שגברים נוטים להתייבש יותר מנשים. במחקר שנערך בהולנד ובחן נשים וגברים שהשתתפו במירוץ נמצא שגברים התייבשו בערך פי שלושה מנשים. הגברים והנשים שהשתתפו בניסוי שתו כמות מים פחות או יותר זהה, אולם מאחר שמסת הגוף של הגברים גבוהה יותר הם שתו הרבה פחות נוזלים ליחידת מסת גוף. כמו כן הגברים הזיעו יותר מהנשים ולכן איבדו יותר נוזלים.

אובדן מסת גוף במהלך מירוץ אצל נשים (למעלה) ואצל גברים (למטה). אובדן של שני אחוז ומעלה. מתוך Scandinavian Journal of Medicine & Science in Sports 2013
מחקר אחר הראה שהתייבשות משפיעה בצורה חמורה יותר על גברים מאשר על נשים. נמצא שגברים שהתייבשו ונחשפו לסביבה חמה התמודדו איתה פחות טוב מאשר נשים – טמפרטורת הגוף שלהם עלתה יותר והם הזיעו פחות יחסית לקצב ההזעה שלהם כשלא היו מיובשים.
לגבי השפעת צבע העור, בארצות הברית נמצא שיותר בעלי צבע עור שחור סובלים מהתייבשות לעומת לבני עור, יחסית לשיעורם באוכלוסייה. עם זאת, לא ברור מה הסיבה לכך וייתכן שזה קשור למאפיינים סוציואקונומיים, הרגלי שתייה שונים, נטייה שונה להזעה, הטיה של הרופאים או גורם אחר.
בומרנג – בחזרה אליך
כמה אחוזים מגוף האדם הם מים? האם יש הבדל בין נשים וגברים?
יעל כורם
המחלקה לביולוגיה מולקולרית של התא
מכון ויצמן למדע
הערה לגולשים
אם אתם חושבים שההסברים אינם ברורים מספיק או אם יש לכם שאלות הקשורות לנושא, אתם מוזמנים לכתוב על כך בתגובה לכתבה זו ואנו נתייחס להערותיכם. הצעות לשיפור וביקורת בונה יתקבלו תמיד בברכה.