هناك أسباب وجيهة تجعل البشريّة تستغرق آلاف السنين للوصول إلى اللّانهاية (الرياضيّة). أحدها أنّه مخالف لحدسِنا، بالتّالي فإنّ العديد من الظواهر المتعلّقة به تبدو لنا متناقضةً، ويبدو أنّها لا تتّسق مع فطرتنا السليمة.

للحدس مكانة مهمّة جدًّا في الرياضيات. بخلاف ما يُقال أحيانًا، لا يمكننا ممارسة الرياضيّات فقط باعتبارها لعبة رسميّة من البديهيّات. أو على الأقلّ، لا أحد يقوم بذلك بهذه الطريقة. في كثير من الأحيان، نحتاج أوّلًا للشعور بما ينبغي أن يحدث، حتّى لو كنّا علماء رياضيّات محترفين، وعندها فقط نبدأ بدراسة الموضوع باستخدام أدوات رياضيّة رسميّة. لكنّ المشكلة هي أنّ حدسنا قد تطوّر في العالم النهائيّ أو المحدود، وعندما نحاول استخدامه لفهم الأشياء اللانهائيّة، سنحصل على ظواهر غريبة. إحدى هذه الظواهر هي الكعكة – تلك التي يمكنك تناولها، لكن لا يمكنك تغطيتها بالكريمة الحلوة واللذيذة.


كعكة يمكنك تناولها لكن لا يمكنك تغطيتها بالكريمة الحلوة واللذيذة. كعكة عيد ميلاد طبقات | تصميم يونات أشحار بمساعدة Firefly

مهلًا، ماذا؟ دعونا نترجم هذا إلى لغة رياضيّة، ليس بالضرورة للتوضيح، لكن للتحدّث بعبارات أكثر وضوحًا وتفصيلًا. إذا كان الأمر كذلك، فإنّ "الكعكة التي يمكن تناولها" هي "كعكة كمّيّتها محدودة"، أي أنّ حجمها محدود وبالتالي يمكن أكلها. "الكعكة التي لا يمكن توقّعها" هي الكعكة الّتي إذا أردنا أن نغطّي جميع أسطحها الخارجيّة بالكريمة الحلوة – "الجزء العلويّ" وجوانبها، لوجدنا أنّ لا نهايةَ لها.

إذا أردنا استخدام مصطلحات أكثر دقّة، فسنتحدّث عن مساحة سطحيّة لا نهائيّة. لكن عبارة "مساحة سطح لا نهائيّة ذات حجم محدود" تبدو تسمية أقلّ ملاءَمةً من عبارة "كعكة يمكنك تناولها ولكن لا يمكنك توقّعها". لذلك لنبقى مع كعكاتِنا.

الكعكة

دعونا نتخيّل كعكةً ما. إنّه شيء لطيف دائمًا. كعكة مستديرة، كما في حفلات الزفاف في الأفلام، تلك التي تتكوّن من طبقات. الطبقة الأولى هي الأبسط، وهي عبارة عن طبقة مستديرة يبلغ ارتفاعها مترًا واحدًا ويبلغ نصف قطرها مترًا واحدًا.

الآن لنبدأ بإضافة الطبقات. ستكون جميع الطبقات بنفس الارتفاع، لكن كلّ واحدة منها أضيق قليلًا من الطبقة الّتي سبقتها، السابق. ممّا يعني، أنّ الطبقة الثانية سيبلغ نصف قطرها نصف متر:

ستكون الطبقة الثالثة بنفس ارتفاع سابقاتها لكن أضيق قليلًا. في دائرةٍ يبلغ نصف قطرها ثلث المتر:


وهكذا دواليك. سيكون نصف قطر الطبقة التالية ربع متر، والتي بعدها خمس متر وهكذا. طبقات لا نهاية لها! هذه هي المرحلة التي قد يصرخ فيها حدسنا بأنّ هذه كعكة لا نهائيّة، فكلّ ما فيها لا نهائيّ! لذلك، حتّى لتغطيتها، تحتاج إلى كمّيّة لا حصر لها من الكريمة أو الكريمة المخفوقة. كلّ شيء لا نهائيّ.

اتّضح أنّ هذا غير صحيح، ولفهمِ ذلك تحتاج إلى بعض الحسابات.

الحساب أ: التسخين

لذا كتمرينِ إحماء أثناء تسخين الفرن، سنتحقّق ممّا سيحدث إذا غطّينا الكعكة من الأعلى فقط. أي فقط حلقة السقف لكلّ طبقة في الكعكة. وهنا تلك الأجزاء:

من الواضح أنّ هذه العمليّة عمليّة حسابيّة معقّدة، لأنّ لدينا عدد لا نهائيّ من الحلقات لربطها.

ولحسن الحظّ، يكفي تغيير طفيف في وجهة النّظر حتّى يغدو السّؤال بسيطًا. وهذه المرّة سيكون هناك تغيير حقيقيّ في وجهة النّظر، بالمعنى الحرفيّ قدر الإمكان: بدلًا من النّظر إلى الكعكة من الجانب، سننظر إليها من الأعلى. وفي الأعلى، الكعكة اللانهائيّة الّتي لدينا هي مجرّد دائرة. دائرة واحدة تتلاءَم فيها جميع الحلقات، وتشكّل معًا دائرة واحدة يبلغ نصف قطرها مترًا واحدًا، مثل الطّبقة الأولى.

وما هي مساحة الدّائرة الّتي نصف قطرها يبلغ مترًا واحدًا؟ فطيرة (pie)، كما هو مطلوب عند الحديث عن الكعك.

الحساب ب: الطِّلاء

لذلك رأينا أنّه يمكننا رؤية سقف كلّ طبقة دون أيّ صعوبة خاصّة. هل يمكننا أن نتوقّع أنّه يمكننا رؤية الكعكة من الجوانب أيضًا؟

من وجهة نظر هندسيّة، كلّ جانب من الطبقة هو غلاف أسطوانة:

عندما نقوم بتقطيع غلاف الأسطوانة سنحصل على مستطيل. في حالتنا، ارتفاع كلّ مستطيل هو نفس ارتفاع كلّ طبقة من طبقات الكعكة – متر واحد. طول كلّ مستطيل من هذه المستطيلات هو محيط الدائرة، وهو ما يساوي حاصل ضرب ضعف باي في نصف قطر الدائرة. وكما هو معروف، أنصاف الأقطار هي 1، ½، ⅓، إلخ. لذلك نحصل على:

المجموع داخل الأقواس، واحد ونصف وثلث، وما إلى ذلك، هو مجموع يُعرف باسم "العمود التوافقيّ" – وهو المثال الكلاسيكيّ في الرياضيات لمجموع تستمرّ حدوده في التقلّص، مع ذلك، فإنّ هذا المجموع يكبر ويكبر ويكبر إلى ما لا نهاية. هناك دليل صغير وغير معقّد على ذلك، ولكن هذه قضيّة أُخرى.

أي أنّ حجم الطبقة اللازمة لتغطية جوانب الكعكة، وهو مجموع أغلفة اللفائف، وهو مجموع المستطيلات، لا نهائيّ. وهذا منطقيّ! عندما تنظر إلى الكعكة من الأعلى، ترى دائرةً، وبالتالي فإنّ طبقة التزيين في الأعلى تكون نهائيّة. لكن عندما تنظر إلى الكعكة من الجانب، فإنّها تبدو لا نهائيّة، ومن المنطقيّ أنّ هذا ما ستظهره الحسابات؛ لذلك لا يمكنك تغطية الكعكة.

أعني أنّه يمكن فقط من الأعلى، لكنّه لا يعتبر غطاءً إذا لم يغطّي جوانب الكعكة بشكل جيّد أيضًا، أليس كذلك؟

الحساب ج: هل يُمكِن أكل الكعكة؟

والآن، بالنسبة للسّؤال الأهمّ وللإجابة عنه، علينا أن نفهم مقدار الكعكة التي لدينا بالفعل. بعباراتٍ أدقّ، نسألُ عن حجم الكعكة.

لا يبدو هذا السؤال معقّدًا. بعد كلّ شيء، الكعكة لا حصر لها – لقد أظهرنا بالفعل أنّه لهذا لن نتمكّن من تغطية جميع جوانبها. لذا، إذا قمنا بقياس الكعكة بأكملها، بما في ذلك محتوياتها اللذيذة، وليس فقط بقياس الجوانب، فهل يمكننا أن نكتشف شيئًا ليس لا نهائيًّا؟

هذه هي المرحلة التي نتذكّر فيها الوعد بالكعكة التي لا يمكن تغطيتها لكن يمكن تناولها. لذلك دعونا نحسب؛ يبلغ ارتفاع كلّ أسطوانة مترًا واحدًا، ويصغر نصف القطر أكثر فأكثر. حجم الأسطوانة هو حاصل ضرب الارتفاع في مساحة القاعدة (باي في مربع نصف القطر)، فنحصل على:

                               

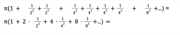
الآن سنفعل كما يفعل الطاووس: سنصعّب الأمر. سوف نأخذ هذا المجموع، الذي هو بالفعل لا نهائيّ في الطول، ونكبّره أكثر. لكنّنا سنفعَل ذلك بطريقة مركّبة بعض الشيء. ثمّ إذا تمكّنا من إظهار أنّ المجموع المتزايد يصل إلى النتيجة النهائيّة، فمن السهل والمنطق أنّ مجموعنا يجب أن يكون نهائيًّا أيضًا.

ولتكبيرِه، سنقوم أوّلًا بتقسيم المتّصلين إلى مجموعات:

أي أنّ الواحد وحده، والنصف في الزوج، والربع في الرباعيّة، والثمن في الثمانية، وهكذا. الآن سنقوم بزيادة المجموع:

قمنا بتقليل المقامات وبالتالي زدنا المجموع: فالنصف أكبر من الثلث، والربع أكبر من الخمس، والسدس أو السّبع، وهكذا. نحسب الناتج.

ولهذا السبب قمنا بالتقسيم إلى هذه المجموعات، وقمنا بزيادة العوامل بهذه الطريقة. لأنّه الآن يُختزل:

إنّه بالفعل مجموع أبسط، كما أنّه مألوف أكثر بكثير. تحديدًا هذا المجموع:

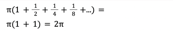
يمكن حلّها كمجموع سلسلة هندسيّة، لكن هناك أيضًا طريقة مرئيّة أبسط بكثير لفهم ما يحدث هنا. النصف وربع (نصف ما تبقّي) وثمن إضافيّ (نصف ما تبقّي) ودواليك، هذا في الواقع ما يلي:

وهكذا. في نهاية المطاف سيتم ملء المربع بأكمله. وهذا يعني أنّ هذا المجموع، عندما نسحبه إلى ما لا نهاية، كما يُفترض بنا أن نفعل، هو بالضبط 1. إذن 1 زائد هذا المجموع هو ببساطة 2. وقد حصلنا على:

والآن علينا أن نتذكّر ما يمثّله هذا المجموع ولماذا أردنا حسابه منذ البداية. وهذا المجموع هو نتيجة التثقيل. أي أنّها أكبر من مجموع أخر – تلك التي تمثّل حجم الكعكة. لقد قمنا بذلك لمعرفة ما إذا كان من الممكن تناولها. إذا كان حجمها أقلّ من 2π، فإنّنا لا نعرف ما هو بالضّبط، لكنّنا نعلم أنّه ليس لا نهائيًّا. بطريقة غير بديهيّة للغاية، حجم هذه الكعكة، التي تحتوي على عدد لا حصر له من الطوابق، محدود.

كيف يمكن هذا؟

على ماذا حصلنا؟ كعكة ذات حجم محدود – أي أنّها قابلة للأكل، لكن مساحة سطحها لا نهائيّة – ولا يمكن تغطيتها. باختصار، لذيذة ولكن ليس لطيفًا جدًّا.

ابتكر العالِم في مجال الرياضيات إيفانجيليستا توريشيلي (Torricelli) هذه القصة في عام 1681، حيث تحدّث عن قرن النبيذ بدلًا من الكعكة، ويبدو أنّ الحديث متشابه في الأساس، باستثناء أن توريتشيلي تحدّث عن قرن "أملس"، غير مقسّم إلى طبقات: في حالته لدينا قرن يمكن ملؤه بالمشروب وشربه حتّى النهاية، لكن لا يمكننا مسح المشروب على جانبيه.

الرياضيات الأساسية هي نفس الرياضيات، ولكنّها أكثر تعقيدًا قليلًا، لأنّه لا من غير الممكن تقسيم المجاميع الى طبقات بشكل سهل، ويجب استخدام تقنيات جمع أكثر تعقيدًا. لكن جوهر الأمر يبقى كما هو.


ابتُكرت هذه القصة في عام 1681 من قِبَل عالم الرياضيات إيفانجيليستا توريشيلي، الذي  تحدث عن قرن من النبيذ بدلًا من الكعكة. تورشيللي وتحته رسم توضيحي للقرن اللامتناهي | Science Source / Science Photo Library, ويكيميديا, RokerHRO

لماذا يحدث كلّ هذا؟ بعد فوات الأوان، ربّما لا ينبغي أن نتفاجأ. يتصرّف الحجم بشكل عامّ كقوّة ثالثة، والمساحة كالرَّفْع الأُسِّيّ 2. والرَّفْع الأُسِّيّ 3 الثالثة دائمًا أسرع: فهي تكبر بشكل أسرع، ولكنّها تتقلّص أيضًا بشكل أسرع. وهذا يعني أنّه عندما تنكمش الكعكة (أو القرن)، فإن حجمها يتقلّص بسرعة كبيرة بمعدل متناهٍ في الصغر من مساحة سطحها. لذلك صمّمنا أبعاد الكعكة بحيث يتقلّص حجمها بسرعة كافية لتكون محدودة، ولكن ليس مساحة سطحها. سيكون من الممكن أيضًا هندسة الكعك حيث يكون كلا الأمرين محدودًا أو لا نهائيًّا، ولكن أين ستكون المتعة بعد ذلك؟